网站首页  百科知识

请输入您要查询的百科知识:

 

词条 烟酰胺腺嘌呤二核苷酸
类别 中文百科知识
释义

烟酰胺腺嘌呤二核苷酸nicotinamide adenine dinucleotide

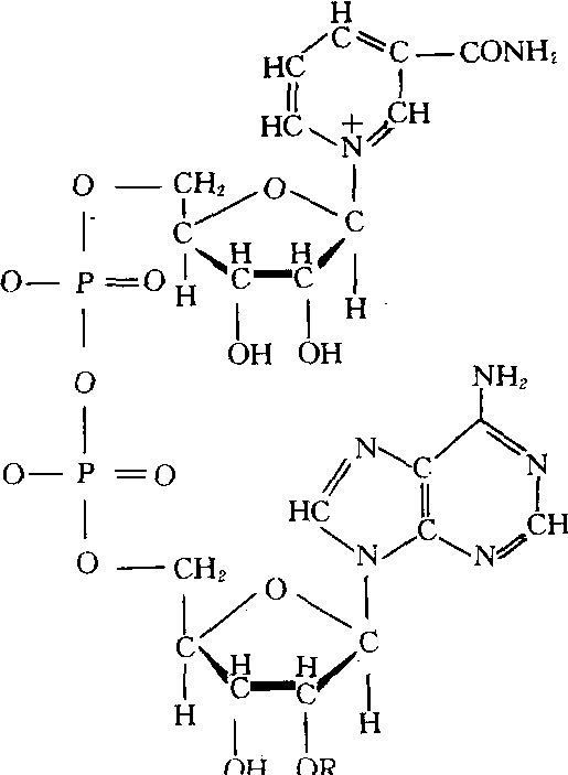
又称辅酶Ⅰ。脱氢酶辅酶的一种。为烟酰胺核苷酸与腺嘌呤核苷酸的缩合物,存在氧化型和还原型两种形式,分别简写成NAD+和NADH +H+。含有维生素B5,其烟酰胺吡啶环在反应中可以可逆地进行脱氢和得氢(或得失电子)作用。为一些不需氧脱氢酶的辅酶,在生物体内起传递氢的作用。

NAD+和NADP+的结构NAD+:R=—HNADP+:R=—PO3H2

随便看

 

开放百科全书收录579518条英语、德语、日语等多语种百科知识,基本涵盖了大多数领域的百科知识,是一部内容自由、开放的电子版国际百科全书。

 

Copyright © 2000-2025 oenc.net All Rights Reserved
更新时间:2025/11/10 22:56:23