网站首页  百科知识

请输入您要查询的百科知识:

 

词条 个体内差异评价法
类别 中文百科知识
释义

个体内差异评价法geti nei chayi pingjiafa

把被评价对象集合的每个成员自己的某(些)侧面特征和自己另外一(些)特征作比较,从而观察集合内各个成员间的差异.例如,可以利用每个成员过去的学习成绩和现在的学习成绩作比较;也可以用他们的智能和学习的差异来看他们的发展等.设集合A= {N1,N2,…,Nn},每个Ni对应的评价标准是Si,那么个体内差异评价就是要判断Ni与Si的差异.
个体内差异评价有不少评价方法,例如:
❶对于同一科目,过去的成绩和现在的成绩作比较;

❷ 对于不同的科目,按其相应成绩作不同的比较;

❸ 智力测验


以智商作标准作个体内差异评价。

❹ 利用成就值作个体内差异评价。
成就值(AS)=学力偏差值(Y)一智能偏差值(X)
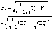
如果Yi是对于n个学生的学力测验的普通得分(如百分制中的得分),那么,由于

均分


标准差


则称为偏差值 (即T标准分)
同理


从理论上说,
由于 AS=Y—X
显然,当AS= 0时,其学力和智能得到了相应的发挥;当AS> 0时,表明学力有提高;当AS<0时,表明其学力未达到其智能应发挥的程度。
值得注意的是应用成就值来作个体内差异评价时,Y与X必须高度相关。

个体内差异评价法getinei chayi pingjiafa

把被评价集合中的各个元素的过去和现在相比较或者把一个元素的各个侧面相比较的方法。如果假定被评价集合中的元素是A1、A2、A3……An,元素过去的状态是A′1、A′2、A′3……A′n,则这种评价法的前一种情况可以用下(左)图来表示:

如果假定被评价因素为A, 该因素的各个侧面为A1、A2、A3……An, 则这种评价法的后一种情况可用上(右)图表示。这种评价法首先可以用来评价被评价对象的过去和现在。如果一个幼儿园原来的师资水平很差。现在师资水平提高了, 那么这个幼儿园就是进步了,这个幼儿园“进步了”的评价实际上就是运用这种评价法做出的。它还可以用来对评价对象的某几个侧面进行比较,考察其所长和所短。例如,考察一个幼儿的发展情况可以从身体、认知、社会性等几方面考察。考察之后就会发现该幼儿哪一方面发展得好一些, 哪一方面发展得差一些, 从而提醒幼儿家长和老师在某些方面多加注意和指导。这种评价法充分照顾到了个体间的差异,在评价过程中不会给被评价者造成压力。但是,它也有很大的弊病。如采用这种方法评价时既不与客观标准比较又不与其他被评价者比较, 很容易使被评价者自我陶醉与满足。所以,在评价工作中,这种评价法常常与相对评价法结合使用。比如,一个幼儿园中原来幼师毕业生只占教师人数的20%,现在幼师毕业生人数达到了35%。如果从个体内差异的角度看,教师素质提高了不少。但是,如果该地区其他幼儿园的幼师毕业生人数均提高了30%左右,那么这个幼儿园师资水平的提高就不能算作很快, 还应该向其他幼儿园师资水平的方向努力。
随便看

 

开放百科全书收录579518条英语、德语、日语等多语种百科知识,基本涵盖了大多数领域的百科知识,是一部内容自由、开放的电子版国际百科全书。

 

Copyright © 2000-2025 oenc.net All Rights Reserved
更新时间:2026/5/18 19:20:22