网站首页  百科知识

请输入您要查询的百科知识:

 

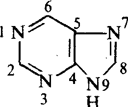
词条 嘌呤
类别 中文百科知识
释义

嘌呤piaoling

无色晶体,熔点为216℃,易
溶于水,有弱碱性。嘌呤的衍生物广泛存在于自然界,如:




腺嘌呤和鸟嘌呤是组成核酸的重要碱基。

嘌呤

简称“Pur”。核酸分子中的一种碱性的含氮的9元双杂环化合物。常见的是腺嘌呤和鸟嘌呤。

随便看

 

开放百科全书收录579518条英语、德语、日语等多语种百科知识,基本涵盖了大多数领域的百科知识,是一部内容自由、开放的电子版国际百科全书。

 

Copyright © 2000-2025 oenc.net All Rights Reserved
更新时间:2025/11/10 12:28:33