网站首页  百科知识

请输入您要查询的百科知识:

 

词条 半角定理
类别 中文百科知识
释义

半角定理banjiao dingli

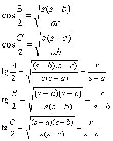
在△ABC中,a,b,c分别是∠A,∠B,∠C的对边,s=(a+b+c)/2,r是△ABC内切圆的半径,且

则有

上述式子半角定理或半角公式.
随便看

 

开放百科全书收录579518条英语、德语、日语等多语种百科知识,基本涵盖了大多数领域的百科知识,是一部内容自由、开放的电子版国际百科全书。

 

Copyright © 2000-2025 oenc.net All Rights Reserved
更新时间:2025/11/10 11:13:21