网站首页  百科知识

请输入您要查询的百科知识:

 

词条 化学实验展览
类别 中文百科知识
释义

化学实验展览huaxue shiyan zhanlan

为了培养学生学习化学的兴趣和爱好,鼓舞他们的学习热情,扩大他们的知识范围,培养他们对事物的观察能力及动手操作能力,可定期不定期地举办实验展览,特别是在迎接中考及高考的总复习中举办实验展览更有其重要作用。化学实验展览包括以下几部分: ❶各种化学仪器(包括加热器、测容器、量器、过滤器、冷凝器、反应器,附件等)。
❷典型药品的颜色、状态 (包括常见的酸、盐、碱、氧化物、金属单质、非金属单质、有机物等。
❸各种阴、阳离子的颜色及鉴定所需的试剂。
❹14种气体(H2,O2,Cl2,CO,NO,NO2,H2S,CO2,SO2,HCl,NH3,CH4,C2H4,C2H2)的制备装置。
❺常见的有机及无机的典型实验 (陈列出实验名称、实验所需药品、实验所需仪器、实验中所出现的现象、实验中应注意的事项等)。
❻综合实验设计 可以横向进行实验总结,也可以纵向进行实验串联。如在纵向实验串联时可把有关S,N,Cl,Fe等元素的知识按其价态变化进行实验串联:

也可按各主族元素的代表元素进行实验的横向总结,举例如下:
有关卤族元素的代表元素——氯元素性质的实验设计见图1;



图1


有关氧族元素的代表元素——硫元素性质的实验设计见图2;


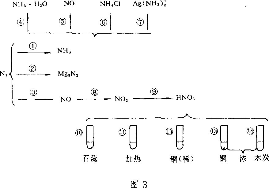
有关氮族元素的代表元素——氮元素性质的实验设计见图3;


有关氮族元素的代表元素——磷元素性质的实验设计见图4;



图4


有关碳族元素的代表元素——碳元素性质的实验设计见图5;


图5


有关碱金属族的代表元素——钠元素性质的实验设计见图6;


有关碱土族的代表元素——镁元素性质的实验设计见图8;
有关硼族的代表元素——铝元素性质的实验设计见图7


图7



图8


有关过滤元素的代表元素——铁元素性质的实验设计见图9。

把以上纵向的或横向的实验以图表形式画出,并配备各套串联实验置于图下,有利于学生观察了解各元素化学的实验内容,提高综合设计和观察的能力。
❼化工生产流程模型、化工生产流程图、化工产品及各种实验图表 在实验展览的过程中除组织学生观看外,还可以动手操作,使之在参观中既巩固了知识又培养了能力。
随便看

 

开放百科全书收录579518条英语、德语、日语等多语种百科知识,基本涵盖了大多数领域的百科知识,是一部内容自由、开放的电子版国际百科全书。

 

Copyright © 2000-2025 oenc.net All Rights Reserved
更新时间:2026/5/19 23:08:44