网站首页  百科知识

请输入您要查询的百科知识:

 

词条 动能
类别 中文百科知识
释义

动能dongneng

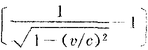
物体由于做机械运动而具有的能量。质点的动能定义为Ek=1/2。式中m是质点的质量,v是质点的运动速度。它是一个恒正的标量。动能具有相对性,选取不同的参照系,动能的数值一般是不同的。动能具有瞬时性,说某个质点的动能时,必须指明这个质点在什么时刻或什么位置的动能。当质点的速度大小发生变化时,它的动能也随着状态的变化而变化,动能是质点运动状态的单值函数。动能和动量都是描写质点机械运动状态的物理量,这两种量度的区别是:动量是以机械运动来量度机械运动的;动能是以机械运动转化为一定量的其他形式运动的能力来量度机械运动的。在机械运动范围,各种运动相互转移的过程中,可以用动量,也可以用动能来描写质点机械运动的状态;在机械运动与非机械运动之间相互转化的过程中,只用动能来描写质点机械运动的状态。质点动能的改变,是力对空间积累作用,即力做功的效应;质点动量的改变,是力对时间积累作用,即力的冲量的效应。质点系的动能是它所有质点相对同一参照系的动能之和。对于微观粒子,当它的速度接近光速时,其动能等于m0c2,式中m0是质点的静止质量,c是光速,v是质点的速度。刚体运动可以分成质心平动和绕质心转动两部分,故其动能也是平动动能和转动动能之和,即1/2Mv2c+1/2Iω2,式中M是刚体的质量,vc是其质心的速率,I是刚体对通过质心并与瞬时转轴平行的轴的转动惯量,ω是刚体转动角速度的大小。

动能

物体由于机械运动所具有的能量。参见“物理”中的“动能”。


动能

物体由于运动而具有的作功本领。平动物体的动能等于mv2/2;m为物体质量,v为物体速度。物体在外力作用下,如运动发生改变时,其动能的增加(或减少)值等于外界对物体(或物体对外界)所作的机械功。因此,利用物体的动能可以对外界作功,例如水力发电等。

随便看

 

开放百科全书收录579518条英语、德语、日语等多语种百科知识,基本涵盖了大多数领域的百科知识,是一部内容自由、开放的电子版国际百科全书。

 

Copyright © 2000-2025 oenc.net All Rights Reserved
更新时间:2026/5/18 18:00:12