网站首页  百科知识

请输入您要查询的百科知识:

 

词条 分位数
类别 中文百科知识
释义

分位数

统计总体各单位按其在某一标志上数值的大小顺序排列,并分为若干相等部分时,在各个分界点上的变量值。如分为两个相等部分,位居中点的变量值,称为中位数。

分位数

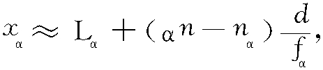
随机变量的一种位置特征数。α分位数常记为xα,其中0<α<1。若随机变量X是连续型的,F(x)是它的分布函数,则F(xα)=α。在样本中也常用x(r)作为样本的α分位数,其中r=[nα]+1,而[nα]表示不超过nα的最大整数;如果观察值已经分组列成频数分布表时,则其近似计算公式为:

其中Lα是α分位数所在组的下限,nα是小于α分位数所在组下限的各组的频数之和,d是α分位数所在组的区间长度,fα是α分位数所在组的频数。常被应用于测验分析统计中。
随便看

 

开放百科全书收录579518条英语、德语、日语等多语种百科知识,基本涵盖了大多数领域的百科知识,是一部内容自由、开放的电子版国际百科全书。

 

Copyright © 2000-2025 oenc.net All Rights Reserved
更新时间:2026/1/12 20:42:41