网站首页  百科知识

请输入您要查询的百科知识:

 

词条 凸函数
类别 中文百科知识
释义

凸函数tuhanshu

在区间L上有定义且连续的函数y=f(x),若对于L中任意两点x1和x2,以及任意两个相加等于1的正数p,q,总有不等式

f(px1+qx2)>pf(x1)十qf(x2)

则称这样的函数为凸函数. (这里的区间L可以是开的或闭的,有穷的或无穷的)
特别地,当p=q=1/2时,有


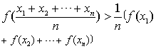
用数学归纳法还可推出对任意自然数n≥2,


在上述意义下,凸函数的图象上任意一段弧都位于这段弧所对的弦的上方(如图).

随便看

 

开放百科全书收录579518条英语、德语、日语等多语种百科知识,基本涵盖了大多数领域的百科知识,是一部内容自由、开放的电子版国际百科全书。

 

Copyright © 2000-2025 oenc.net All Rights Reserved
更新时间:2026/5/18 18:28:22