农药代谢metabolism of pesticides
农药在生物体内外由酶催化的化学反应。研究农药代谢的目的有三个方面: ❶就靶标物体而言,主要是为了弄清农药对靶标物体的作用机理以及抗药性和选择性机制。
❷弄清它对非靶标物体的影响,以评价农药的安全性。
❸为创制新农药提供线索。
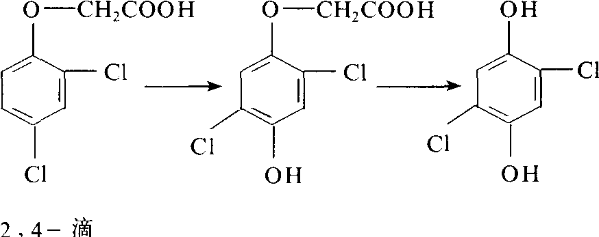
简史 农药代谢研究起始于20世纪40年代后期,直至60年代研究工作主要局限于杀虫剂在动植物体内的代谢。60年代以后,逐渐扩展到除草剂、杀菌剂等各种类型的药剂,在不同对象(动物、植物、微生物)上的代谢研究。代谢研究的手段在40年代末至50年代初用的是化学方法。50年代以后最常用的是同位素示踪技术。进入70年代,诸如气相色谱法、液相色谱法、质谱法、核磁共振谱法、计算机技术也相继被应用于农药的代谢研究。
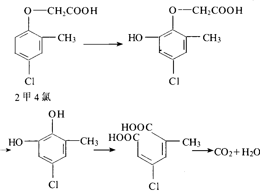
在20世纪40年代后期,农药代谢研究起始阶段的工作主要集中在杀虫剂滴滴涕及有关化合物。1948年冈瑟(F.A.Gunther)等用化学方法研究发现,滴滴涕在植物体内可转化为滴滴依。梅特卡夫(R.L.Metcalf)最早从事有机磷农药代谢的研究,他于1949年发现有机磷杀虫剂对硫磷,在昆虫体内被氧化为对氧磷而抑制胆碱酯酶,并为胆碱酯酶所分解。威廉斯(R.T.Williams)于1953年首先将同位素示踪技术用于农药的代谢研究,鉴于苯是许多农药的母核,他用14C-苯进行了兔体内的代谢研究。从50年代开始至60年代,史密斯(J.N.Smith)等作了大量有关杀虫剂在昆虫体内的代谢研究,并初步确定了杀虫剂在昆虫体内的代谢反应类型。在这些研究的基础上,威廉斯于1959年首先提出把杀虫剂的代谢区分为两个阶段,即初级代谢和次级代谢。初级代谢指的是氧化、水解、还原等反应,它们多为解毒反应。次级代谢指的是轭合(conjugation)反应,使药剂的毒性进一步降低。卡西达(J.E.Casida)等1960年在对氨基甲酸酯类杀虫剂的代谢研究中发现,这类杀虫剂也是胆碱酯酶抑制剂,其对胆碱酯酶的抑制作用及杀虫毒性与药剂的水解速度成反比。同年,孙云沛和约翰逊(D.W.Johnson)用生物测定方法证实:增效醚的增效作用是由于增效醚抑制了杀虫剂在昆虫体内的氧化反应所致。60年代以后,梅特卡夫等对农药代谢与各种酶系的关系作了大量的研究。其间1964年麦克拉(D.HMcRae)等发表了除草剂敌稗在水稻植株内由酰胺酶催化水解的研究成果,并由此解释了敌稗的选择性除草机制。1970年希马布库罗(R.H.Shimabukuro)等研究指出:三氮苯类除草剂莠去津在玉米地中防除一年生杂草表现出的优良选择性能主要是,莠去津在玉米的茎叶中可迅速转化为水溶性的谷胱甘肽莠去津轭合物而达到解毒的目的。70年代,杀菌剂的代谢研究取得了很大进展,比如,汉佩尔(H.Hampel)等发现杀菌剂苯菌灵在植物体内真正起杀菌作用的是它的代谢产物2-(甲氧基氨基甲酰)苯并咪唑,即后来被开发为杀菌剂的多菌灵。
分类 按生物对象分类可分为动物、植物和微生物代谢。其中动物代谢可用活体(in vivo)和离体(in vitro)试验。按代谢过程分为初级代谢和次级代谢。按化学反应类型分类可分为氧化反应、水解反应、还原反应和轭合反应。前三者为初级代谢,后者为次级代谢。
动物代谢 农药在动物体内由酶催化的代谢。研究动物代谢的目的是为了了解农药在动物(包括脊椎动物和昆虫)体内的降解、累积、中毒机理和抗药性机制等。以活体为试验对象的动物代谢,其特点是代谢反应发生在动物体内。农药通过动物的口、皮肤或呼吸系统进入动物体内。经动物体内的代谢作用形成的水溶性中间代谢产物或终端代谢产物很容易随尿和粪便排出体外,所以在动物体内很难检测到如有机磷酸酯类农药形成的硫赶类代谢物或含硫醚结构的农药形成的亚砜和砜等代谢产物。农药在动物体内由次级代谢形成的代谢产物主要是硫酸酯类、葡萄糖醛酸和谷胱甘肽类轭合物等。
植物代谢 农药母体化合物或母体化合物的转化产物在植物体内由酶催化的代谢。研究植物代谢的目的主要是了解农药在植物体内的降解速度、选择性毒性以及农药母体化合物和其转化产物在农副产品中的最终残留量,并将其对哺乳动物的毒性结合起来为制定农药安全使用标准提供依据。农药植物代谢的特点是:通常在植物体内检测到的农药代谢产物并非全部是在植物体内形成的,因为农药在进入植物体之前,在环境中,由于光解、水解或微生物作用已发生了一系列化学反应。所以,进入植物体内除母体化合物之外,还包含有母体化合物的转化产物。比如,涕灭威施入土壤后,在土壤微生物作用 下可转化为涕灭威亚砜和涕灭威砜两个有毒代谢物,它们与母体化合物同样具有较强的水溶性,可被根系吸收进入植物体内。植物没有有效的循环系统,只有有限的排泄功能。所以,农药及其代谢物在植物体内存留的时间长,发生某些代谢反应的可能性比在动物体内大,且某些在动物体内不易检出的代谢产物在植物体内容易检测到。比如由含硫醚结构的农药形成的亚砜和砜的代谢物在植物体内容易检出。农药在植物体内的次级代谢产物主要是简单和复杂的葡萄糖甙类、谷胱甘肽类和氨基酸酯类轭合物。
微生物代谢 农药在微生物体内和土壤环境中由酶催化的代谢。研究微生物代谢的目的是了解农药在土壤环境中的行为及对环境的影响。此外还可利用微生物对有毒物质的降解解毒机制,处理含农药的废水和废弃物。微生物代谢的特点是代谢反应既可以发生在微生物体内,也可以发生在微生物体外。因为由微生物分泌于体外的酶可以导致它周围土壤环境中的农药发生代谢反应。其代谢反应速度一般较快,这是因为微生物与含农药土壤的接触表面积较大的缘故。另外,微生物对于土壤环境中农药的代谢速度随着微生物对农药适应性的增强而加快。当土壤中初次使用某种农药时,开始阶段,药剂对某些微生物可能是有毒物质,但随着微生物对药剂抗性的不断增强,微生物使药剂代谢降解的速度也随之加快。
农药的动物代谢、植物代谢和微生物代谢的化学本质都是由相同或相似的酶系催化的各种化学反应,即氧化反应、水解反应、还原反应和轭合反应。
氧化反应 由氧化酶催化的初级代谢。导致农药发生氧化反应的氧化酶种类很多,其中最重要的是微粒体多功能氧化酶(microsome mixed functionaloxidase,简称MFO)。大多数农药,特别是杀虫剂的初级代谢以氧化反应为主。农药的氧化反应多为解毒反应,但也有少数例外,具有活化作用。例如,杀虫剂马拉硫磷的氧化代谢产物马拉氧磷比马拉硫磷具有更强的抑制胆碱酯酶活性的能力,对哺乳动物毒性更高,马拉硫磷的LD50值为2800毫克/千克(大白鼠急性口服毒性),而马拉氧磷的LD50值为90毫克/千克,后者比前者的毒性提高了30倍之多。
氧化反应包括多种反应方式,如环羟基化反应、开环反应、侧链氧化反应、硫醚氧化反应、环氧化反应、脱烷基反应、氧取代硫的反应等,各类反应式举例如下:

环羟基化反应

开环反应

侧链氧化反应(脱羧反应)

硫醚的氧化(亚砜与砜的形成)

环氧化反应

脱烷基反应

氧取代硫的反应
由于上述几个氧化反应中的代谢产物狄氏剂、氧乐果比母体化合物对昆虫具有更好的生物活性而被开发为农药。
水解反应 由水解酶催化的初级代谢。促使农药发生水解反应的酶有很多种,如羧酸酯水解酶(carboxyl ester hydrolase),羧酸酰胺水解酶(carboxylamide hydrolase),氨基甲酸酯水解酶(carbamate hydrolase),环氧化物水化酶(epoxidehydrase)等。初级代谢以水解反应为主的农药有:有机磷酸酯类、氨基甲酸酯类、硫代氨基甲酸酯类、苯脲类、酰胺、腈和羧酸等。农药水解反应的实例如下:

有机磷酸酯的水解

脲的水解
有些类型的农药如有机磷酸酯类水解反应速度较快,所以药效维持较短。农药的水解反应通常为解毒反应,但也有少数例外,如杀虫脒的水解产物4-氯邻甲苯胺具有致癌作用。苯菌灵在植物体内的代谢产物多菌灵是具有杀菌活性的有效成分,这一发现使多菌灵被开发为农药。
还原反应 由还原酶催化的初级代谢。能催化农药发生还原反应的酶种类有限,硝基还原酶(nitroreductase)即属这一类。还原反应在农药的初级代谢中远不如氧化反应和水解反应重要。还原反应通常包括硝基还原为氨基的反应,氢化反应及脱卤反应。如含有硝基苯母核的农药苯硫磷、对硫磷、杀螟硫磷等在反刍动物的胃液中很容易还原为氨基衍生物。当有机磷农药分子中的硝基被还原为氨基后,它们就失去了原有的生物活性与毒性。有机氯农药在动物体内还原脱卤后,一般还须经历羟基化反应、轭合反应等过程后才能从尿中排出。农药还原反应实例如下:

硝基的还原反应


脱卤还原反应
轭合反应 即农药的次级代谢,是指农药有效成分本身或代谢物分子中带有—OH、—COOH、—SH 、—NH
2等基团与生物体内固有的内源性物质,如葡萄糖醛酸、氨基酸、谷胱甘肽、硫酸酯、甲基、乙酰基等在酶的催化下形成大分子轭合物的反应。导致这一类反应的酶有谷胱甘肽- S- 转移酶(glutathion-s-transferase),葡萄糖基转移酶(glucosyl transferase),乙酰基转移酶(acyltransferase)等。轭合反应多是解毒反应。形成轭合物的母体化合物或代谢物一般丧失毒性并可以从动物体内排出。植物虽然没有排泄器官,但轭合物的形成已达到了对农药的解毒目的。但也有少数例外,比如某些含N-羟基的化合物,其轭合物是强致癌剂。还有一些轭合物有诱变作用。如N-羟基-4-氨基联苯的葡萄糖醛酸轭合物就是一个诱变剂。农药形成轭合物的实例如下:

灭草隆在植物体内形成的葡萄糖甙轭合物

莠去津在植物体内形成的谷胱甘肽(GSH)轭合物
轭合物易分解,所以确定它的结构较为困难。在离体试验中采取温和水解的方法,可使轭合物分解得到原来的母体化合物或代谢物。