网站首页  百科知识

请输入您要查询的百科知识:

 

词条 克菌丹
类别 中文百科知识
释义

克菌丹captan

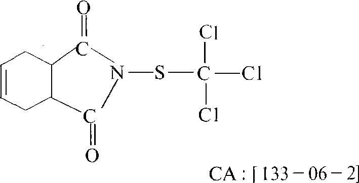
广谱治疗和保护性有机硫杀菌剂。商品名Orthocide、Vondcaptan、开普顿。化学结构式:

1949年由美国标准油类开发公司(Standard Oil De-velopment Co.)即以后的奇佛龙化学公司(ChevronChemical Co.)提出,后由奇佛龙化学公司和斯多福化学公司(Stauffer Chemical Co.)共同开发。
性能 纯品为白色结晶,熔点178℃,在25℃时的蒸气压<133.32×10-5帕。25℃时溶解度: 在水中为3.3毫克/升;丙酮中21克/千克;氯仿中70克/千克,环己酮中23克/千克,二甲苯中20克/千克,异丙醇中1.7克/千克,不溶于石油。遇碱不稳定。接近熔点时分解。无腐蚀性,但其分解产物有腐蚀性。毒性低。大鼠急性口服LD50 900毫克/千克,每日用300毫克/千克剂量的工业品喂狗,66个星期未见慢性中毒症状。对大鼠两年饲养试验,其无作用剂量为1000毫克/千克。对鱼类高毒。虹鳟LC50(96小时)0.066~0.080毫克/千克。对鸟低毒。对人皮肤有刺激性。兼具保护作用和治疗作用的杀菌剂。与多数常用农药可以混用,但不能与强碱性药剂和油剂混用。
应用 主要作喷雾使用,亦可作种子处理,收获后浸蘸产品,播种前或栽植前进行土壤处理。一般用0.1%左右浓度药液喷雾,防治果树、蔬菜、花卉和其他经济作物等的黑星病、霜霉病、白粉病、炭疽病、灰霉病、早疫病、晚疫病等。按种子重量的0.3~0.5%处理种子,可防治禾谷类黑穗病,棉花苗期病害等。已有本品与其他杀菌剂或杀虫剂的复配制剂多种,如Agrosol-S(与代森锰复配),Isotox seed treater“D”(与二嗪磷复配),Bean seed protectant(与二嗪磷、链霉素复配)。

克菌丹captan

三氯甲硫基类杀菌剂。化学名称:N-三氯甲硫基-4-环乙烯-1,2-二甲酰亚胺。化学结构式如下。原药白色结晶,难溶于水,可溶于氯仿、(7%)二甲苯、丙酮(2%)等溶剂中,性质稳定,遇碱分解。广谱性保护杀菌剂。用于种子处理和叶面喷洒,防治大田作物、果树、蔬菜等多种病害,亦可与其他农药混用。对人畜低毒,大鼠急性口服LD50为9 000 mg/kg,对皮肤有刺激作用,慢性中毒试验以300 mg/(kg · d)喂狗66周未出现症状。

随便看

 

开放百科全书收录579518条英语、德语、日语等多语种百科知识,基本涵盖了大多数领域的百科知识,是一部内容自由、开放的电子版国际百科全书。

 

Copyright © 2000-2025 oenc.net All Rights Reserved
更新时间:2026/5/18 16:26:57