网站首页  百科知识

请输入您要查询的百科知识:

 

词条 克线丹
类别 中文百科知识
释义

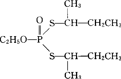
克线丹Sebufos rugby,taredan

有机磷杀线虫剂。化学名称:S,S-二仲丁基-O-乙基二硫代磷酸酯。化学结构式如下。原药黄色透明液体.水中溶解度248 mg/L,能完全与丙酮、乙腈、二氯甲烷、乙酸乙酯、戊烷、甲醇、甲苯混合。广谱触杀型杀线虫剂。土壤处理,防治各种线虫和地下害虫,用于花生、大豆、烟草、马铃薯等作物。对人畜毒性大,小鼠急性口服LD5071.4 mg/kg。

随便看

 

开放百科全书收录579518条英语、德语、日语等多语种百科知识,基本涵盖了大多数领域的百科知识,是一部内容自由、开放的电子版国际百科全书。

 

Copyright © 2000-2025 oenc.net All Rights Reserved
更新时间:2026/5/18 22:34:32