网站首页  百科知识

请输入您要查询的百科知识:

 

词条 偏差系数
类别 中文百科知识
释义

偏差系数

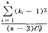
又称“偏态系数”。用来反映随机系列各变量对称于均值位置出现可能性大小的统计参数。以Cs表示。计算公式为:Cs=式中Cs为年径流偏差系数;Ki为某年年径流模比系数。当Cs=0时,为正态分布,即对称于均值的各随机变量都一一相等;当Cs>0时,为正偏分布,即小于均值的随机变量比大于均值的出现机会多,水文系列大多属正偏分布;当Cs<0时,为负偏分布,与正偏相反。

随便看

 

开放百科全书收录579518条英语、德语、日语等多语种百科知识,基本涵盖了大多数领域的百科知识,是一部内容自由、开放的电子版国际百科全书。

 

Copyright © 2000-2025 oenc.net All Rights Reserved
更新时间:2026/5/18 20:06:06