网站首页  百科知识

请输入您要查询的百科知识:

 

词条 倒数方程
类别 中文百科知识
释义

倒数方程daoshu fangcheng

若一个一元n次方程

a0xn+a1xn-1+…+an-1x+an=0 (1)

的系数满足关系ak=an-k或ak=-an-k(k为非负整数,0≤k≤n/2)时,则方程(1)称作倒数方程.
显然,倒数方程的根不可能是零.
若a是倒数方程的根,则1/a也必定是这个倒数方程的根.例如,倒数方程4x4-9x3-26x2-9x+4=0的一个根是4,可以验证,1/4是方程的另一个根.倒数方程也正是由其根的这一性质而得名.
当ak=an-k时,方程(1)称为第一类型倒数方程.
对于n=2m的第一类型倒数方程,若作x+1/x=y的替换,则可将原方程化成一个关于y的m次方程,达到降次的目的.
例 解方程4x4-9x3-26x2-9x+4=0 (2)
解 把原方程变形为

4(x4+1)-9(x3+x)-26x2=0

因 x≠0故用x2除方程两边得

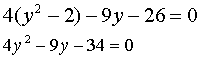
于是原方程化为

解得

分别代回

解得


对于n=2m+1的第一类型倒数方程,方程总有一个根是-1.若用(x+1)除方程(1),则可得出一个次数为2m的第一类型倒数方程.
例如,用综合除法可将方程

4x5-5x4-35x3-35x2-5x+4=0

化为

(x+1)(4x4-9x3-26x2-9x+4)=0

由x+1=0 得x=-1.而方程

4x4-9x3-26x2-9x+4=0

正是形如前面解过的方程(2).
当ak=-an-k时,方程(1)称作第二类型倒数方程.
对于n=2m的第二类型倒数方程,方程总有一个根是1,另一个根是-1.
对于n=2m+1的第二类型倒数方程,方程总有一个根为1.
随便看

 

开放百科全书收录579518条英语、德语、日语等多语种百科知识,基本涵盖了大多数领域的百科知识,是一部内容自由、开放的电子版国际百科全书。

 

Copyright © 2000-2025 oenc.net All Rights Reserved
更新时间:2026/1/12 11:07:26