网站首页
百科知识
请输入您要查询的百科知识:
词条
倍角公式
类别
中文百科知识
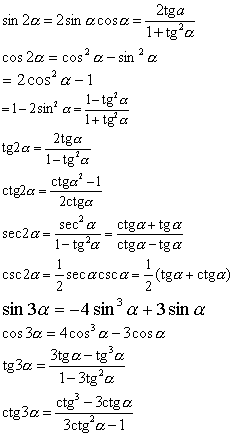
释义
倍角公式beijiao gongshi
包括:
随便看
Petropavlovsk—Kamchatskii
Petropolis
Petrosian,Tigran Vartanovich
Petrozavodsk
petunia
Pevensey
Pevsner,Antoine
Pevsner,Sir Nikolaus Bernhard Leon
pewter
peyote
Pforzheim
pH
Phaedra
Phaeophyta
Phaestos
Phaethon
phaeton
phage
phagocyte
phagocytosis
phalanger
Phalaris
phalarope
phallicism
phanerogam
开放百科全书收录579518条英语、德语、日语等多语种百科知识,基本涵盖了大多数领域的百科知识,是一部内容自由、开放的电子版国际百科全书。
Copyright © 2000-2025 oenc.net All Rights Reserved
更新时间:2026/5/18 20:08:56