网站首页  百科知识

请输入您要查询的百科知识:

 

词条 会圆术
类别 中文百科知识
释义

063 会圆术

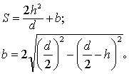
北宋数学家沈括提出的根据弓形的高h和所在圆的直径d求弓形弧长S和底b的方法。沈括给出的公式是:

沈括的求弓形弧长的近似公式虽不够精确,但却较为简便实用。在王恂、郭守敬关于“授时历”的推算中得到了应用,并启发他们提出了由太阳黄经求赤经和赤纬的新方法。

随便看

 

开放百科全书收录579518条英语、德语、日语等多语种百科知识,基本涵盖了大多数领域的百科知识,是一部内容自由、开放的电子版国际百科全书。

 

Copyright © 2000-2025 oenc.net All Rights Reserved
更新时间:2026/5/18 19:28:49