网站首页  百科知识

请输入您要查询的百科知识:

 

词条 代森锰
类别 中文百科知识
释义

代森锰maneb

代森锌

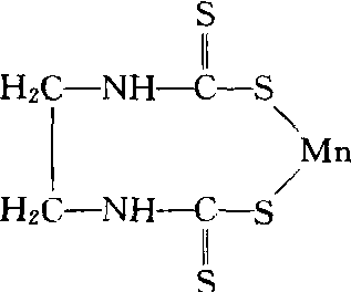
代森锰maneb

有机硫杀菌剂。化学名称:乙撑双二硫代氨基甲酸锰。化学结构式如下。原药黄色结晶,微溶于水,不溶于大多数有机溶剂。化学性质比较稳定,遇酸或潮湿则分解。1950年由美国杜邦公司推广应用。作为广谱性保护杀菌剂。制剂为可湿性粉剂,作叶面喷洒剂。一般用于防治蔬菜晚疫病、炭疽病、霜霉病等。并兼治植物缺锰症。大鼠口服急性中毒LD50为7 500 mg/kg。对人、畜低毒,对植物安全,尤其滨海地区比代森锌安全。但夏季高温时在瓜类作物上要慎用。

随便看

 

开放百科全书收录579518条英语、德语、日语等多语种百科知识,基本涵盖了大多数领域的百科知识,是一部内容自由、开放的电子版国际百科全书。

 

Copyright © 2000-2025 oenc.net All Rights Reserved
更新时间:2026/1/12 17:33:15