网站首页  百科知识

请输入您要查询的百科知识:

 

词条 代数数域
类别 中文百科知识
释义

代数数域daishu shuyu

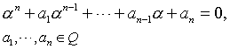
所有代数数构成的数域.若复数a适合

则α称为代数数.换言之,首系数为1的有理系数方程(多项式)的根,称为代数数.代数数就是有理数域上的代数元(参看“代数扩域”)
例如,,i都是代数数.它们分别适合方程

x2-2=0,x2-3=0,x2+1=0

特别,所有有理数都是代数数.但不是所有复数都是代数数.e,π都不是代数数,它们都是超越数.
若a1,a2,…,an都是整数,而数a适合

an+a1αn-1+…+an-1α+an=0

则称α是一个代数整数.
例如,,i都是代数整数.(-1+)/2也是代数整数,它适合x2+x+1=0.
随便看

 

开放百科全书收录579518条英语、德语、日语等多语种百科知识,基本涵盖了大多数领域的百科知识,是一部内容自由、开放的电子版国际百科全书。

 

Copyright © 2000-2025 oenc.net All Rights Reserved
更新时间:2025/11/10 10:57:37