网站首页  百科知识

请输入您要查询的百科知识:

 

词条 2,4,5-涕
类别 中文百科知识
释义

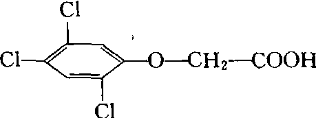
2,4,5-涕2,4,5-T

苯氧乙酸类激素型内吸除草剂。化学名称:2,4,5-三氯苯氧乙酸。化学结构式如下。纯品为白色结晶体,熔点156.6℃。微溶于水,溶于丙酮、乙醇和乙醚。其碱金属和胺盐溶于水,不溶于矿油。性质稳定。可被植物的根、茎和叶部吸收,影响植物的全部生命过程,植物表现畸形,导致死亡。2,4,5-涕中所含的杂质二噁英有催畸作用,故已被许多国家禁用。

随便看

 

开放百科全书收录579518条英语、德语、日语等多语种百科知识,基本涵盖了大多数领域的百科知识,是一部内容自由、开放的电子版国际百科全书。

 

Copyright © 2000-2025 oenc.net All Rights Reserved
更新时间:2025/11/9 17:09:46