网站首页  百科知识

请输入您要查询的百科知识:

 

词条 Fourier Series
类别 英汉百科知识
释义

【Fourier Series】
 


中文:傅里叶级数
 


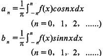
【释文】:把周期函数表示为由三角函数所构成的级数。任何单值周期函数均可被分析为简谐分量之和,即:f(x)=a0/2+(a1cosx+b1sinx)+(a2cos2x+b2sin2x)+……在上述级数中,系数an和bn分别为:

傅里叶级数以法国数学家和物理学家J.B.J.傅里叶的姓氏命名,是处理许多科学分支中复杂的周期性变量的一种极为有用的工具。

随便看

 

开放百科全书收录579518条英语、德语、日语等多语种百科知识,基本涵盖了大多数领域的百科知识,是一部内容自由、开放的电子版国际百科全书。

 

Copyright © 2000-2025 oenc.net All Rights Reserved
更新时间:2025/11/10 14:17:42