网站首页  百科知识

请输入您要查询的百科知识:

 

词条 二项分布
类别 中文百科知识
释义

二项分布erxiangfenbu

指一种随机事件只有两种可能结果的概率分布。比如任选一个学生,只可能出现“男生”或“女生”这两种结果之一;完全凭猜测来回答一道正误题,只可能出现“做对”或“做错”这两种结果之一。设随机事件只有两种可能结果。一种可能结果的概率为p,另一种的概率为q(q=1-p),如果这种随机事件出现n次,则下式的数学展开式的分布就称为二项分布:

式中Cnn、Cnn-1、…是数学上的“组合”符号,其一般式为

上式表示从n个元素中任取出r个元素来组合。当r=n或r=n-1时,则为Cnnn或Cnn-1。余类推。
据组合的关系式有Cn-rn=Crn(如Cnn-2=C2n)及任何数的0次幂均为1的原理,二项分布式可写成:

二项分布是一种离散型(即非连续型)的概率分布。当p=q=1/2、且np≥5时,它近似于正态分布;当p≠q时,它为“偏态”分布,它的平均数和标准差分别为:

[例] 解10道正误题,学生全凭猜测作答的平均

二项分布的优点是可以简捷地确定两种可能结果的各种概率。如在学生解10道正误题时,答对多少题才不是凭猜测而是凭自己真实知识得分呢?根据概率概念及二项分布公式有

即考生凭猜测答对8题以上的概率约为5.5%,这几乎是一个小概率(通常5%以下称为小概率),是不大可能出现的。故考生答对8题以上才认为不是凭猜测得分。由二项分布的对称性可知,考生答对2题以下也是不可能出现的小概率事件。


二项分布erxiang fenbu

在n重贝努利试验中,设每次试验某事件A出现的概率为p,令X是n次试验中事件A出现的次数,则X是一个离散型的随机变量,它的概率分布为


这个概率分布通常称为二项分布(因由二项式(p+q)n展开的各项组成).其中n,p为参数.当一个随机变量X的概率分布为二项分布时,称X服从参数为n,p的二项分布,记作X~B (n,p).

二项分布

一种常见的重要概率分布。在每次试验的条件相同的n次重复试验中,如果 一次试验发生某事件的概率为p,那么此事件发生k次的概率为(1-p)n-k(k=0,1,…,n),这就是二项分布的具体表示式。

二项分布

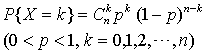
一种离散型随机变量的分布。设在一次试验中事件A出现的概率为p(0

P(X=k)=pk(1-p)n-k, k=0,1,2,…,n


则称X的分布是参数为n,p的二项分布,记为X~b(n,p)。常被应用于测验分数统计中。

二项分布binomial distribution

概率论中关于二项式n次乘幂的概率分布。描述随机现象的一种常用分布。整个总体中,仅有两种可能结果时,如种子的发芽与不发芽、产品的合格与不合格等,假定在一次抽样试验中,两种结果出现的概率分别为p和q,则p+q=1。在n次重复的试验中,则这两组出现次数不同的组合,构成如下的概率分布:

一般说来,只要每次试验结果发生某事件的概率为p,则独立地将此试验重复n次时,这个事件正好发生k次的概率就是Pn(k)。

因为正好是二项式(p+q)n的展开式中的一项,故名。
随便看

 

开放百科全书收录579518条英语、德语、日语等多语种百科知识,基本涵盖了大多数领域的百科知识,是一部内容自由、开放的电子版国际百科全书。

 

Copyright © 2000-2025 oenc.net All Rights Reserved
更新时间:2025/11/9 17:46:45