网站首页  百科知识

请输入您要查询的百科知识:

 

词条 二次函数的最大值和最小值
类别 中文百科知识
释义

二次函数的最大值和最小值

erci hanshu de zuidazhihe zuixiaozhi) 二次函数y=ax2+bx+c (a≠0),当x=-b/2a时,y取得最大值或最小值(4ac-b2)/4a.若a>0,则y=(4ac-b2)/4a为最小值;若a<0,则y=(4ac-b2)/4a为最大值.


例如,函数y=2x2-3x+1,当x=3/4时,y有最小值-1/8.又如函数y=-(1/3)x2-2x+3,当x=-3时,y有最大值6.
在求某二次函数的最大(小)值时,常采用配方法.如对于函数y=2x2-3x+1,将其解析式配方,变为y=2(x-3/4)2-1/8,由此可知当x=3/4时,y有最小值-1/8.
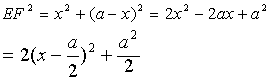
求二次函数的最大(小)值有着广泛的应用.例如,求正方形的最小面积的内接正方形(各顶点分别在原正方形边上的正方形,称为原正方形的内接正方形).如图,正方形ABCD,依次在各边上取点E,F,G,H,使EFGH为正方形.很容易知道,AE=BF=CG=DH.设AB=a,AE=x,则正方形EFGH的面积为

所以,当AE=a/2(即为AB中点)时,正方形EFGH面积最小.
随便看

 

开放百科全书收录579518条英语、德语、日语等多语种百科知识,基本涵盖了大多数领域的百科知识,是一部内容自由、开放的电子版国际百科全书。

 

Copyright © 2000-2025 oenc.net All Rights Reserved
更新时间:2026/5/18 18:55:36