网站首页  百科知识

请输入您要查询的百科知识:

 

词条 二噻农
类别 中文百科知识
释义

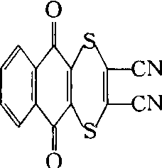
二噻农dithianon

醌类杀菌剂。化学名称:2,3-二腈基-1,4-二硫代蒽醌。化学结构式如右。原药为褐色晶体,熔点225℃,微溶于水,溶于1,3-二噁烷、氯仿、氯苯。遇碱不分解。保护性杀菌剂。主要用于防治果树叶斑病,如苹果、梨黑星病、桃炭疽病、穿孔病、锈病、缩叶病、褐腐病、葡萄霜霉病、柑橘疮痂病及咖啡锈病等。大鼠急性口服LD50为638 mg/kg,经皮毒性低。对蜜蜂无毒。

随便看

 

开放百科全书收录579518条英语、德语、日语等多语种百科知识,基本涵盖了大多数领域的百科知识,是一部内容自由、开放的电子版国际百科全书。

 

Copyright © 2000-2025 oenc.net All Rights Reserved
更新时间:2026/1/12 19:51:43