网站首页  百科知识

请输入您要查询的百科知识:

 

词条 二嗪磷
类别 中文百科知识
释义

二嗪磷diazinon

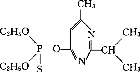
安全广谱性硫逐式一硫代磷酸酯类杀虫杀螨剂。中国曾称作二嗪农、地亚农、大亚仙农。化学结构式:

1956年瑞士汽巴—嘉基公司(Ciba-Geigy AG)首先开发。
性能 纯品为无色油状液体,50℃以上不稳定,120℃以上分解。对光照稳定,易被氧化。在碱性介质中稳定,在水溶液中或弱酸性介质中缓慢水解,强酸或强碱条件下迅速分解。贮存时微量的水能促使水解。不溶于水,20℃时溶解度40毫克/升,易溶于一般有机溶剂。对高等动物较低毒,大白鼠急性口服LD50 285毫克/千克; 急性经皮LD50 455毫克/千克(雌)、900毫克/千克(雄)。可通过人体皮肤被吸收。在试验动物体内易于被降解与排泄。对鱼类低毒,对鸭、鹅高毒,对蜜蜂高毒。对害虫具有触杀、胃毒,熏蒸作用,有一定杀螨活性及杀线虫活性。残效期较长。
应用 主要以乳油对水喷雾用于水稻、棉花、果树、蔬菜、甘蔗、玉米、烟草、马铃薯等作物,防治刺吸式口器害虫和食叶害虫,如鳞翅目、双翅目幼虫、蚜虫、叶蝉、飞虱、蓟马、介壳虫、二十八星瓢虫、锯蜂等及叶螨,对虫卵、螨卵也有一定杀伤效果。小麦、玉米、高粱、花生等拌种,可防治蝼蛄、蛴螬等土壤害虫。颗粒剂灌心叶,可防治玉米螟。乳油对煤油喷雾,可防治蜚蠊、跳蚤、虱子、苍蝇、蚊子等卫生害虫。绵羊药液浸浴,可防治蝇、虱、蜱、蚤等体外寄生虫。一般使用下无药害,但一些品种的苹果和莴苣较敏感。收获前禁用期一般为10天。不能和铜制剂、除草剂敌稗混用,在施用敌稗前后2周内也不能使用。制剂不能用铜器、铜合金器或塑料容器盛装。

二嗪磷diazinon

又称地亚农、二嗪农。广谱有机磷杀虫剂。化学名称:O,O-二乙基-O-(2-异丙基-4-甲基嘧啶-6甲基)硫逐磷酸酯。化学结构式如下。纯品为无色、无臭油状液体,沸点83~84℃(266.6×10-4 Pa),密度1.116~1.118,蒸气压186.7 ×10-4 Pa。常温下水中溶解度为40 mg/kg,可与乙醇、丙酮、二甲苯混溶,在水或稀酸中逐渐分解,在稀碱中稳定,在强碱中很快分解,挥发性强。对害虫和螨类具有很强的触杀、胃毒作用和较好的熏蒸作用,对一些害虫有杀卵作用。渗透作用较强。速效,叶面喷雾药效期较短,但在土壤内,药效期长。可应用于水稻、甘蔗、玉米、棉花、蔬菜、果树、烟草、花卉等,防治食叶害虫、钻蛀性害虫、刺吸口器害虫及地下害虫。对大鼠急性口服LD50为250~285mg/kg,急性经皮LD50为455~900 mg/kg,吸入急性LC50为3.5 mg/L(4h)。ADI值为0.002 mg/kg。日本规定稻米、大豆、果实、茶、蔬菜上的允许残留量为0.1 mg/kg。

随便看

 

开放百科全书收录579518条英语、德语、日语等多语种百科知识,基本涵盖了大多数领域的百科知识,是一部内容自由、开放的电子版国际百科全书。

 

Copyright © 2000-2025 oenc.net All Rights Reserved
更新时间:2025/11/10 10:49:36