网站首页  百科知识

请输入您要查询的百科知识:

 

词条 乳糖
类别 中文百科知识
释义

乳糖

由一分子半乳糖和一分子葡萄糖组成的一种还原性双糖。存在于动物乳汁中,牛奶中含4—6%,可从干酪的副产品乳清制备。植物中也有存在。

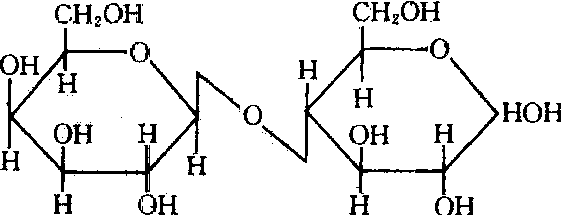
乳糖lactose

D-吡喃半乳糖基与D-吡喃葡萄糖基通过β1→4糖苷键连接而成的双糖。结构如下。不易溶于水,微甜,有还原性。在植物界很少见,曾在连翘属的花药中发现,在人和哺乳动物的乳汁中含量较多,牛乳中含4%~5%,人乳中含5%~8%。因无吸湿性,食品和医药工业上作为辅料。

随便看

 

开放百科全书收录579518条英语、德语、日语等多语种百科知识,基本涵盖了大多数领域的百科知识,是一部内容自由、开放的电子版国际百科全书。

 

Copyright © 2000-2025 oenc.net All Rights Reserved
更新时间:2026/5/18 17:27:35