网站首页  百科知识

请输入您要查询的百科知识:

 

词条 齐墩螨素
类别 中文百科知识
释义

齐墩螨素avermectins,AVM

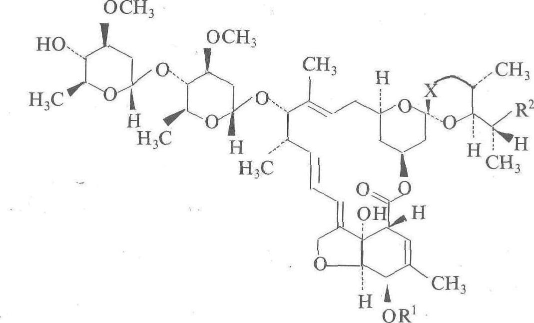
高效、广谱有杀虫、杀螨、杀线虫活性的抗生素。作为防治家畜体内寄生虫的驱虫剂,其剂量仅为常用驱虫剂的1/10或更低,被誉为驱虫剂在低剂量化方面的重大突破。又称杀虫菌素、阿维杀虫素、阿凡曼菌素。化学结构式:

1975年日本北里研究所从静冈县土壤中分离得到链霉素菌株(S.avermitilis),美国麦克(Merck)公司从其培养液中分离得到此类活性物质。
性能 AVM的鼠口服LD50为10毫克/千克左右。有效剂量比家畜中毒剂量小,因此对高等动物十分安全。AVM的生物活性基团与R1、X、R2有关,通常AVMB(R1=H)的活性大于AVMA(R1=CH3);其他差别较小。它对植物线虫的活性比有机磷和氨基甲酸类杀线虫剂等的活性高一个数量级。对抗滴滴涕、拟除虫菊酯、有机磷杀虫剂等的害虫也有效。杀虫机制与其他常用杀虫剂类型不同,它是通过影响GABA来杀死害虫的。这类物质进入脑组织的速度比进入肌肉中的速度要慢得多。
品种与应用 目前已商品化的品种有:❶阿巴杀螨素(Abamectin)。有效成分为AVMB1,主要用作杀螨剂,对螨具有触杀及胃毒作用,无杀卵作用,对昆虫也有防治作用。1.8%的乳油,防治棉叶螨,每公顷用450~600毫升,残效期约30天。
❷伊维杀虫素(Ivermectin)。由AVMB1氢化而成。含22,23-二氢B1a与B1b的比例为8:2。主要防治马、牛、羊、猪、狗体内多种寄生虫和线虫、体虱、螨、蜱、蝇类。注射使用:马、牛、羊剂量为0.2毫克/千克,猪为0.3毫克/千克。商品伊福迈克(Ivomec)是1%针剂,专供牛注射用;伊克福兰(Eqvalan)专供马注射用,含伊维杀虫素2%。
AVM对根结线虫属、根腐线虫属、肾线虫属等多种植物寄生线虫有良好的防治作用。防治南方根结线虫的剂量仅为常用杀线虫剂的1/30~1/10,最近发现AVM2b的衍生物AVM2b-23- 酮在培养皿条件下对南方根结线虫的活性是杀线威的1 000倍,在杀植物线虫方面的应用,正在开发之中。
另外,AVM在医学方面,对寄生于人体的丝虫蚴具有良好的活性。在剂量25~200微克/千克的条件下,可以防止丝虫引起人的致盲症。在非洲、印度已有许多成功的临床病例。
随便看

 

开放百科全书收录579518条英语、德语、日语等多语种百科知识,基本涵盖了大多数领域的百科知识,是一部内容自由、开放的电子版国际百科全书。

 

Copyright © 2000-2025 oenc.net All Rights Reserved
更新时间:2026/5/18 17:01:12