网站首页  百科知识

请输入您要查询的百科知识:

 

词条 黄绿青霉毒素
类别 中文百科知识
释义

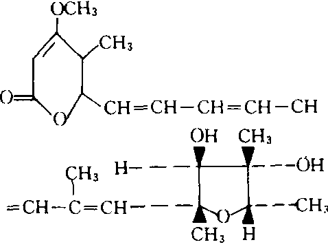
黄绿青霉毒素citreoviridin

黄绿青霉(Penicilliumcitreo-viride),异名毒青霉(P.toxicarium)产生的毒素。本菌寄生在米粒的胚部或疵部,随着霉菌的生长,米粒的一部或全部逐渐变成黄色。黄绿青霉毒素为橙黄色柱状结晶,溶于丙酮、氯仿等,不溶于石油醚和水。其结构式如左。粗制毒素加热至270℃才失去毒性。经紫外线照射2h,大部分毒素可被破坏。毒性作用迅速,主要损害中枢神经。导致脊髓神经发生麻痹;慢性中毒可使动物发生肝肿瘤及贫血。

随便看

 

开放百科全书收录579518条英语、德语、日语等多语种百科知识,基本涵盖了大多数领域的百科知识,是一部内容自由、开放的电子版国际百科全书。

 

Copyright © 2000-2025 oenc.net All Rights Reserved
更新时间:2026/5/18 21:36:07