网站首页  百科知识

请输入您要查询的百科知识:

 

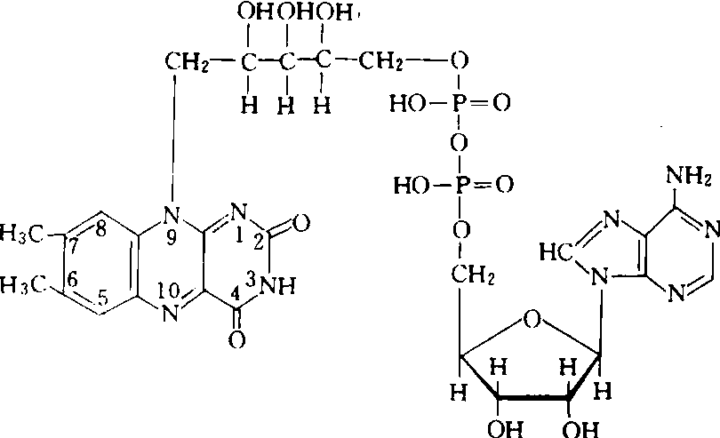
词条 黄素腺嘌呤二核苷酸
类别 中文百科知识
释义

黄素腺嘌呤二核苷酸flavin adenine dinucleotide

黄素单核苷腺嘌呤核苷酸酐。有氧化型和还原型两种形式,分别简写成FAD和FADH2。含有维生素B2。作用机制同黄素单核苷酸。为一些需氧或不需氧脱氢酶或黄素蛋白的辅基,在生物体内一般起递氢的作用。

随便看

 

开放百科全书收录579518条英语、德语、日语等多语种百科知识,基本涵盖了大多数领域的百科知识,是一部内容自由、开放的电子版国际百科全书。

 

Copyright © 2000-2025 oenc.net All Rights Reserved
更新时间:2025/11/10 22:54:29