网站首页  百科知识

请输入您要查询的百科知识:

 

词条 黄素单核苷酸
类别 中文百科知识
释义

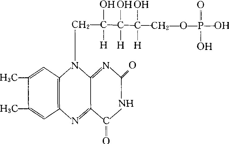
黄素单核苷酸flavin mononucleotide

核黄素磷酸酯。有氧化型和还原型两种形式,分别简写成FMN和FMNH2。含有维生素B2,是一种假核苷酸。在氧化还原反应中,分子中的异咯嗪环可以可逆地进行加氢和脱氢反应。为一些需氧或不需氧脱氢酶或黄素蛋白的辅基,在生物体内一般起递氢作用。

随便看

 

开放百科全书收录579518条英语、德语、日语等多语种百科知识,基本涵盖了大多数领域的百科知识,是一部内容自由、开放的电子版国际百科全书。

 

Copyright © 2000-2025 oenc.net All Rights Reserved
更新时间:2025/11/9 21:23:29