网站首页  百科知识

请输入您要查询的百科知识:

 

词条 黄天精
类别 中文百科知识
释义

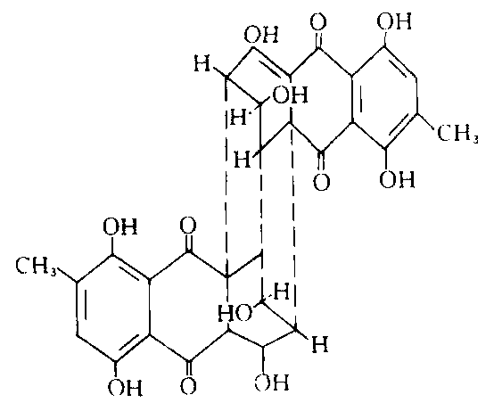
黄天精luteoskyrin

岛青霉(Penicillium islandicum)的代谢产物之一。为黄色六面体针状结晶,熔点为287℃,分子质量547 u,其结构式如右。该菌污染的大米会变黄并含有这种毒素。此毒素为害肝脏,实验动物出现肝炎、肝硬变及肝癌。

随便看

 

开放百科全书收录579518条英语、德语、日语等多语种百科知识,基本涵盖了大多数领域的百科知识,是一部内容自由、开放的电子版国际百科全书。

 

Copyright © 2000-2025 oenc.net All Rights Reserved
更新时间:2026/5/18 15:01:13