网站首页  百科知识

请输入您要查询的百科知识:

 

词条 黄嘌呤
类别 中文百科知识
释义

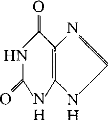
黄嘌呤xanthine,xan,X.

2,6-二氧嘌呤。结构式如右。是黄嘌呤核苷酸的组成分。也是嘌呤碱在体内分解产生的中间物,由腺嘌呤和鸟嘌呤脱氨氧化生成,进一步氧化则转变为脲酸。

随便看

 

开放百科全书收录579518条英语、德语、日语等多语种百科知识,基本涵盖了大多数领域的百科知识,是一部内容自由、开放的电子版国际百科全书。

 

Copyright © 2000-2025 oenc.net All Rights Reserved
更新时间:2026/1/12 16:27:15