网站首页  百科知识

请输入您要查询的百科知识:

 

词条 麦芽糖
类别 中文百科知识
释义

麦芽糖maiyatang

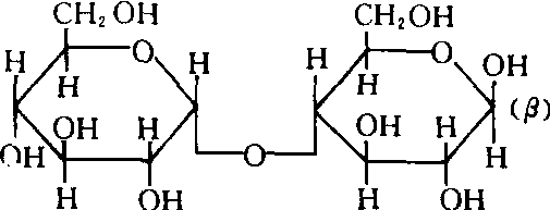
一种还原性二糖,分子式C12H22O11,由两个D-葡萄糖失水形成,成苷部分为六元环的α-D-葡萄糖,未成苷部分以第四个碳原子上的羟基形成糖苷键 (叫做α-1,4-糖苷键),淀粉主要也是以α-1,4-糖苷键将葡萄糖单元结合起来的,可以说淀粉是麦芽糖的高聚物。
麦芽糖的未成苷部分有α-与β-两种形式,在水溶液中,存在环状半缩醛与开链结构的互变平衡,属于还原糖 (参见“还原糖”,见下图)。
麦芽糖在稀酸中水解得到D-葡萄糖。



麦芽糖 D-葡萄糖


麦芽糖是淀粉的基本组成单位。用淀粉酶水解淀粉可以得到麦芽糖。麦芽糖的甜味低于蔗糖,是饴糖的主要成分。

麦芽糖

一种还原性双糖。是两个葡萄糖分子经1—4糖苷键连接而成的糖。在自然界中很少以游离态存在,是淀粉组成成分。动物的唾液和胰液、麦芽及地瓜的淀粉酶水解淀粉、糊精和糖原的主要产物。

麦芽糖maltose

二个D-吡喃葡萄糖基通过α1→4糖苷键连接而成的双糖。结构式如下。有还原性,甜度为蔗糖的32%。在一般植物组织中含量少,高等植物的花粉、花蜜、树蜜和大豆叶柄、茎、根部含量较丰富,在萌发的稻、麦种子中含量多。由淀粉酶水解淀粉产生,或由α-葡萄糖苷酶转葡萄糖基作用合成。是饴糖的主要成分,作营养剂和培养基等。

随便看

 

开放百科全书收录579518条英语、德语、日语等多语种百科知识,基本涵盖了大多数领域的百科知识,是一部内容自由、开放的电子版国际百科全书。

 

Copyright © 2000-2025 oenc.net All Rights Reserved
更新时间:2026/5/18 15:16:30