网站首页  百科知识

请输入您要查询的百科知识:

 

词条 鸟嘌呤
类别 中文百科知识
释义

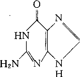
鸟嘌呤guanine,Gua.G.

2-氨基-6-氧嘌呤。化学结构式如右。是DNA和RNA中4种主要碱基之一,也是各种鸟苷酸的组成分。其N9与核糖或脱氧核糖C1以β-糖苷键连接而成鸟苷或脱氧鸟苷。

随便看

 

开放百科全书收录579518条英语、德语、日语等多语种百科知识,基本涵盖了大多数领域的百科知识,是一部内容自由、开放的电子版国际百科全书。

 

Copyright © 2000-2025 oenc.net All Rights Reserved
更新时间:2025/11/10 14:51:41