网站首页  百科知识

请输入您要查询的百科知识:

 

词条 乙草胺
类别 中文百科知识
释义

乙草胺acetochlor

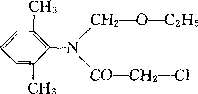
芽前选择性酰胺类除草剂。商品名禾耐斯、Harness、Mon097。化学结构式:

1971年由美国孟山都(Monsanto)公司首先开发成功。
性能 原药为淡黄色油状液体,不易挥发,水中溶解度为398毫克/升。熔点>0℃,沸点>200℃,密度为1.11(30℃),蒸气压>133.322帕,对高等动物低毒。原药大鼠急性口服LD50为2953毫克/千克。雌雄家兔急性经皮LD50为3667毫克/千克。对鱼的LC50:虹鳟鱼为0.45毫克/升,蓝鳃鱼为1.3毫克/升。对鹌鹑和鸭子的LC50均大于5620毫克/千克。对眼睛和皮肤有轻度刺激作用。
应用 乙草胺在大豆、花生、玉米及甘蔗地中防治一年生禾本科及一些双子叶杂草。对黄香附子、双色高粱、藜、大豆菟丝子、苋等杂草有较好的防效。在土壤中持效期为8~ 12星期。对下茬作物没有明显的影响。乙草胺用于大豆、玉米地除草,对作物安全。既可作苗前表土处理,亦可在播前浅混土2~ 4厘米处理。施药后7日内播种。用药量有效成分0.75~ 1.2千克/公顷。采用喷雾法施药,每公顷对水450~600升。苗前表土处理是在播后和杂草出苗之前施药,方法和剂量同播前混土处理。当田间杂草(如蓼等)多时,可与嗪草酮混用,提高防治效果。

乙草胺acetochlor

酰胺类内吸选择性、芽前除草剂。化学名称:2′-乙基-6′-甲基-N-(乙氧甲基)-2-氯代乙酰替苯胺。化学结构式如下。原药为淡黄色液体,熔点>0℃,蒸气压>133.322 Pa,沸点>200℃,微溶于水,可溶于多种有机溶剂,性质稳定,不易光解。能被杂草的幼芽和幼根吸收,抑制杂草蛋白质合成,使杂草停止生长并死亡。适用于大豆、玉米、花生、油菜及棉花等作物使用。防除稗草、马唐、看麦娘、狗尾草、藜、苋、蓼、鸭跖草等一年生单、双子叶杂草,对菟丝子也有效。对人、畜低毒,大鼠急性口服LD50为2 593 mg/kg,家兔急性经皮LD50为3 667 mg/kg。对皮肤和眼有轻微刺激作用。

随便看

 

开放百科全书收录579518条英语、德语、日语等多语种百科知识,基本涵盖了大多数领域的百科知识,是一部内容自由、开放的电子版国际百科全书。

 

Copyright © 2000-2025 oenc.net All Rights Reserved
更新时间:2026/1/12 21:35:37