网站首页  百科知识

请输入您要查询的百科知识:

 

词条 韦达定理
类别 中文百科知识
释义

韦达定理weida dingli

指一元n次方程的根与系数的关系.它是由法国数学家韦达提出来的.
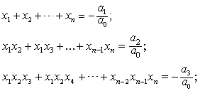
定理:若一元n次方程
a0xn+a1xn-1+…+an-1x+an=0

(a0≠0)


的根是x1,x2,…,xn.则有


初中代数课本中所叙述的一元二次方程的根和系数的关系,就是上述定理当n=2时的特殊情况.
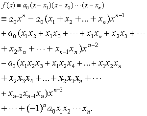
韦达定理的证明是以“一元n次方程在复数集里有且仅有n个根”这一重要定理为基础的,设一元n次方程

f(x)=a0xn+a1xn-1+…+an-1x+an=0(a0≠0)

的n个根为x1,x2,…,xn.则多项式

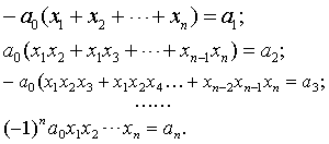
根据多项式恒等的条件,可得

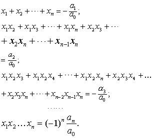
因为a0≠0, 所以得

韦达定理的逆定理成立.

韦达定理

关于代数方程根与系数关系的定理。二次方程ax2+bx+c=0的韦达定理是:方程的根x1、x2与系数的关系为x1+x2=-b/a和x1x2=c/a。对于n次方程也有相应的定理。

随便看

 

开放百科全书收录579518条英语、德语、日语等多语种百科知识,基本涵盖了大多数领域的百科知识,是一部内容自由、开放的电子版国际百科全书。

 

Copyright © 2000-2025 oenc.net All Rights Reserved
更新时间:2025/11/10 10:35:40