网站首页  百科知识

请输入您要查询的百科知识:

 

词条 阿波罗尼斯定理
类别 中文百科知识
释义

阿波罗尼斯定理aboluonisi dingli

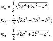
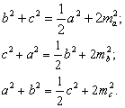
也称帕普斯定理.三角形三边与中线的关系:设a,b,c表示三边长,ma,mb,mc分别表示a,b,c三边上的中线长.则


推出三角形中线长公式:

随便看

 

开放百科全书收录579518条英语、德语、日语等多语种百科知识,基本涵盖了大多数领域的百科知识,是一部内容自由、开放的电子版国际百科全书。

 

Copyright © 2000-2025 oenc.net All Rights Reserved
更新时间:2026/1/13 10:04:12