间苯二酚树脂胶粘剂resorcinol-formal-dehyde resin adhesives
以间苯二酚或间苯二酚和苯酚与甲醛反应而成的聚合物为主体材料的胶粘剂。
1897年,斯派欧(A.Speier)从间苯二酚与甲醛的反应中得到不溶物。1921年,间苯二酚被用来制造树脂。1930年有了专利。1943年,间苯二酚树脂胶粘剂出现。同苯酚相比,间苯二酚的苯环上引入了第二个羟基,反应活性大大增加。皮兹(A.Pizzi)等对比了反应条件相同的间苯二酚—甲醛体系和苯酚—甲醛体系(摩尔比、浓度等均一致),发现前者的反应速度是后者的10~15倍。间苯二酚树脂既可在碱性条件下固化,也可在中性条件下室温固化。它的胶接强度高,抗老化性好,在荷重状态下不发生蠕变,所以,主要用作结构胶粘剂,也用于室外快速胶接和含水量偏高木材的胶接,如湿材(含水量≤30%)指接。不足之处是价格高和颜色深。
间苯二酚与甲醛的反应速度,取决于两者之间的摩尔比、反应浓度、反应温度和pH值等因素。
纯间苯二酚树脂合适的摩尔比是间苯二酚/甲醛=1/0.5~0.7。为了便于控制,甲醛可以分批逐步加入,如2 500份(以重量计)的间苯二酚,以5份草酸作催化剂,第一批加入37%的甲醛液500份,第二批的750份甲醛要逐步加入,防止暴沸。若用苛性钠代替草酸有时更为方便,因为弱碱性有利于树脂固化。纯间苯二酚树脂生产时反应强烈,且成本高,所以多用带有苯酚的共聚物。
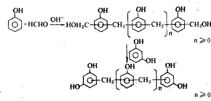
苯酚—间苯二酚—甲醛树脂 这是间苯二酚树脂中用得最多的一类,无论是苯酚、间苯二酚与甲醛共聚,还是分别制成苯酚—甲醛树脂和间苯二酚—甲醛树脂再混合,效果一样。苯酚对间苯二酚之比常为50/50,多的可达80/20。但是,随着间苯二酚用量的减少,树脂的性能也相应降低。根据要求,变化摩尔

比、反应条件等,可得到多种性能的树脂。其反应示意如左下。
尿素—间苯二酚—甲醛树脂 间苯二酚接到脲醛树脂的两端,反应式如下。此树脂性能稍次于苯酚—间苯二酚—甲醛树脂,耐水,能高频固化,可用于胶合板生产。这类树脂有较高的甲醛/尿素比,一般是先制成二羟甲基脲,再同间苯二酚反应,多数是酸催化,常用对甲苯磺酸,也可用氢氧化钠催化。

单宁—间苯二酚—苯酚—甲醛树脂 单宁是多酚化合物,易与甲醛反应,而且价格比间苯二酚便宜得多,常常是部分代替间苯二酚。这类树脂在南非和澳大利亚已作为胶合板和指接用胶,多数选用黑荆树单宁和㭴木单宁。
因为间苯二酚树脂是线性树脂,需加入固化剂才能固化,其加入量使总甲醛含量与间苯二酚的摩尔比为1~2:1,才能达到室温固化,常用多聚甲醛。另外,为了减少固化后的收缩,改善其填隙性,降低成本,提高固含量,一般都加入填料,常用的是椰壳粉、核桃壳粉等。加入固化剂后,胶的适用期不长,要用时现配。