网站首页  百科知识

请输入您要查询的百科知识:

 

词条 链霉素
类别 中文百科知识
释义

链霉素lianmeisu

是1944年从放线菌属中的灰色链霉菌的培养滤液中提制的一种抗菌素。链霉素是碱性物质,它对结核杆菌有强大的抑菌作用,对各种革兰氏阴性杆菌,如大肠杆菌、产气杆菌、肺炎杆菌、沙门氏杆菌、痢疾杆菌等也有较好的抗菌作用。低浓度时有抑菌作用,高浓度时则有杀菌作用。链霉素主要用于治疗各种结核病,对鼠疫与野兔热也有良好效果。但细菌易对其产生耐药性。此外,用量多时还会产生一些副作用,用时应遵医嘱。

链霉素

从灰链丝菌的培养液中提得。氨基甙类抗菌类。其硫酸盐为白色粉末,易溶于水。抗菌谱较广,对多种革兰氏阴性杆菌有强大的杀菌作用,对结核杆菌有突出的疗效。主要用于结核病、鼠疫、尿道感染。不良反应最重要的是对第八对脑神经的损害,表现为平衡失调、眩晕、恶心呕吐及听力受损,以及肾脏损害和过敏反应等。

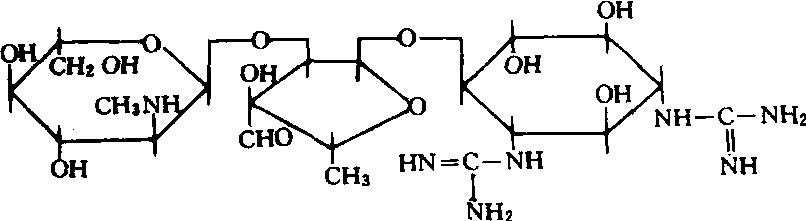
链霉素streptomycin

抗生素。由灰色链霉菌(Strep-tomyces griseus)代谢产物。化学名称:2,4二脈基3,5,6,-三羟基环己基-5-脱氧-2-O-(2-脱氧-2-甲胺基α-L-吡喃葡萄基)-3-C-甲酰-β-L-来苏戊呋喃糖甙。化学结构式如下。1944年发现,主要用于医药上,对革兰氏阴性或阳性菌有效。1952年开始用于植物细菌性病害防治。如梨火疫病、柑橘溃疡病、大白菜软腐病、烟草野火病、马铃薯腐烂病、黄瓜角斑病等,对卵菌引起的病害亦有效,如霜霉病、晚疫病、黑胫病等。具内吸作用,低温时残效一星期。阳光晴天残效3~4天,高温时易产生药害。

随便看

 

开放百科全书收录579518条英语、德语、日语等多语种百科知识,基本涵盖了大多数领域的百科知识,是一部内容自由、开放的电子版国际百科全书。

 

Copyright © 2000-2025 oenc.net All Rights Reserved
更新时间:2026/5/18 15:38:35