网站首页  百科知识

请输入您要查询的百科知识:

 

词条 重氮盐
类别 中文百科知识
释义

重氮盐chongdanyan

较低温度下,在稀硫酸或盐酸中,芳香伯胺与亚硝酸反应生成重氮盐。



氯化重氮苯

重氮盐晶体极易爆炸,一般只制备其水溶液,让它继续发生其他反应:
❶取代反应


苯肼盐酸盐



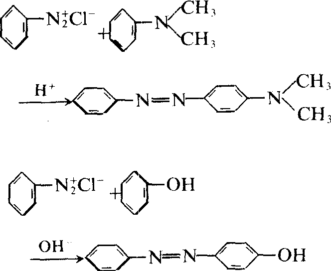
❸偶联反应 与芳香胺或酚反应生成偶氮化合物。

重氮盐在芳香族化合物的合成中有重要应用。
随便看

 

开放百科全书收录579518条英语、德语、日语等多语种百科知识,基本涵盖了大多数领域的百科知识,是一部内容自由、开放的电子版国际百科全书。

 

Copyright © 2000-2025 oenc.net All Rights Reserved
更新时间:2026/5/19 17:47:36