网站首页  百科知识

请输入您要查询的百科知识:

 

词条
类别 中文百科知识
释义

醛quan

的一端与氢原子相连,而另一端烃基(或氢原子)相连的有机化合物称为醛,称醛基)当R为脂肪烃基(或氢)时称脂肪醛; 当R为芳香烃基时称芳香醛。
脂肪醛多以系统命名法命名,即选取含醛基的最长碳链为主链,从醛基碳原子开始用阿拉伯数字 (有时也可用希腊字母)编号。例如:



4-甲基戊醛
(γ-甲基戊醛)


芳香醛则当做甲醛的衍生物来命名,或用俗名:



苯甲醛 邻羟基苯甲醛
(苦杏仁油) (水扬醛)


常温下,12个碳以下的脂肪醛是液体 (甲醛为气体),高级脂肪醛是固体。中级醛和某些芳香醛有特殊的香味,可用于化妆品及食品业。由于没有缔合作用,脂肪醛的沸点低于相应的醇,低级醛溶于水。醛的化学性质很活泼,由于羰基的结构使羰基碳原子正性增强,易于发生亲核加成反应。例如,
与氢氰酸加成:


(α-羟基磺酸钠)

羟基磺酸钠不溶于有机溶剂和饱和的亚硫酸氢钠溶液,此反应可用于醛的分离和鉴别。

与醇反应:



缩醛

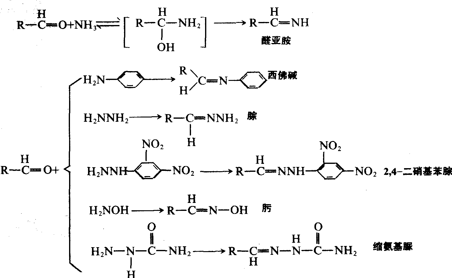
缩醛水解后即得原来的醛,故此法可用于保护醛基。与氨和氨的衍生物反应:

以上与醛反应的试剂叫羰基试剂。醛还可在一定条件下发生还原反应。例如:


此法称梅尔外因一庞道夫还原,在此条件下,双键不被还原。用催化氢化法还原时,分子中的双键也可被还原:



正丁醇

醛还极易发生氧化反应。例如在空气中可自动氧化:



苯甲酸

故苯甲醛瓶口上常有白色固体,即为苯甲酸。与托伦试剂作用 (银镜反应):


与斐林试剂作用:


无α-H的醛与强碱共热,还可发生歧化反应:


此反应称康尼查罗反应。有α-H的醛在稀碱作用下可发生羟醛缩合反应:



醛在自然界虽广泛存在,但仍不能满足需要,大多数醛需经人工合成:氧化或脱氢法 (同时加入乙酸酐保护醛基):


伯醇氧化法:

含有醛基,通式为RCHO的一类有机化合物,R可以是氢或烃基。醛类化合物具有高度的活泼性,易被氧化、还原,有许多重要的羰基上的加成反应,是制造树脂、增塑剂、溶剂以及染料的重要中间体。

随便看

 

开放百科全书收录579518条英语、德语、日语等多语种百科知识,基本涵盖了大多数领域的百科知识,是一部内容自由、开放的电子版国际百科全书。

 

Copyright © 2000-2025 oenc.net All Rights Reserved
更新时间:2026/5/19 17:00:52