网站首页  百科知识

请输入您要查询的百科知识:

 

词条 酚醛树脂胶粘剂
类别 中文百科知识
释义

酚醛树脂胶粘剂phenolic-formaldehyderesin adhesives

以酚类与醛类在一定条件下反应的聚合物为主体材料的胶粘剂。酚类物质主要是苯酚,还包括甲酚、二甲酚、特丁基酚和苯基苯酚等;醛类物质主要是甲醛,有时也包括间苯二酚和糠醛。酚醛树脂的正式名称是苯酚—甲醛树脂,其平均分子量不大。有水溶性、醇溶性、油溶性和乳液等几种。一般呈液态,也有粉状固态的。
酚醛树脂是第一个人工合成的树脂。1872年拜耳(A.von Bayer)发现苯酚与甲醛在酸催化下能生成树脂。1883年迈克尔(A.Michael)报告碱亦可催化得树脂。1907年贝克兰(L. H.Baekeland)获得热压工艺专利,推动了酚醛树脂的应用。1909年酚醛树脂用作木材涂料。1910年酚醛纸质层压板制成。1915年有了酚醛纤维板的专利。此后,酚醛树脂的理论研究和实际应用都得到了很大发展。
反应机理 苯酚与甲醛的反应,由于催化剂的不同和反应体系pH值的高低,反应有下列类型:
强酸催化 甲醛的水溶液是平衡体系,内含甲醛单体和甲醛水化物甲二醇的缩合物。在酸性溶液里,甲二醇第一步生成羟基甲叉阳碳离子,然后与苯酚反应,生成羟甲基酚,这一步反应缓慢。在酸性条件下,生成的羟甲基酚很快与另一个苯酚分子作用,就开始缩合反应,分子链逐步加长为线性树脂,所以强酸催化的苯酚一甲醛反应相当激烈。方程式如下:


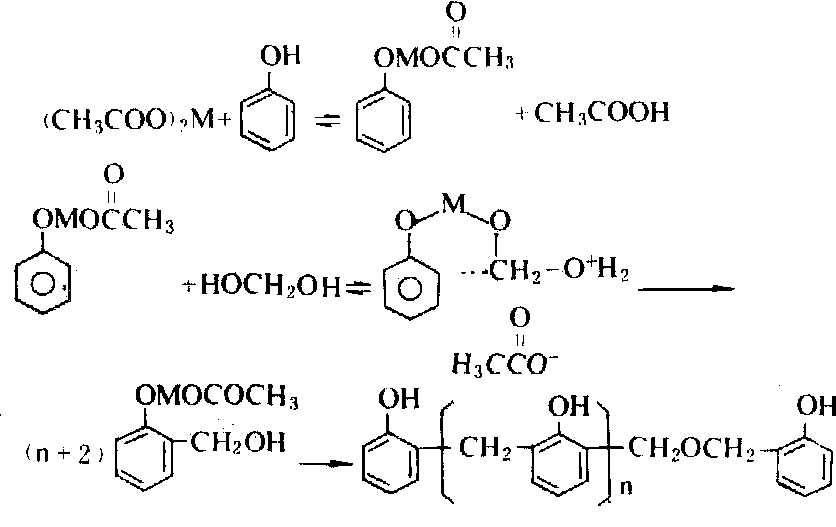
金属离子催化 在一定的酸碱度范围内(pH4~7),以二价金属盐作催化剂,如钙、镁、锌的醋酸盐,同时酚过量。这种树脂的特点是固化速度快,生产过程中的反应热难于控制。方程式如下:


碱催化 甲醛对苯酚的摩尔比为1.5~3.0,多数大于1.5,以氢氧化钠作催化剂,可生成甲阶段酚醛树脂(简称甲阶酚)。一般公认的反应过程是:

在低于60℃和高pH情况下,羟甲基酚的缩合反应缓慢,通常在60~100℃时生成树脂。


氨催化 氨催化甲阶酚,黄色,表明有甲亚胺基(-CH=N-),并且分子量较大,明显不同于其他碱催化反应物。已知道在氨催化的树脂中含有类似于二苄胺和三苄胺的结构。


树脂制备的发展 20世纪70年代,乳液酚醛得到应用。它以水为介质,无公害;分子量比水溶性树脂大得多,性能好。通常有两种制备方法:其一,先在碱催化下生成酚醛树脂,然后在近乎中性的条件下,借助保护胶体的作用,使树脂悬浮于水,并且分子量进一步增长。1975年,中国已用于胶合板水泥模板的生产。其二是先在碱性条件下缩合树脂到预定的分子量范围,加入乳化剂,强力机械搅拌呈乳液,制成的乳液亦已用于造纸厂抄纸机上的尼龙干网处理。高邻位线性酚醛树脂,因解决了反应热的问题而可生产。
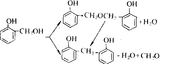
树脂的固化 酚醛树脂的固化,是从可溶可熔的液态转变为不溶不熔的固态的过程。至今,人们对这个十分复杂的固化过程还不太清楚。甲阶酚经加热(在碱性条件下)或加酸都能固化。一般认为固化有两个阶段,先生成亚甲基醚(—CH2—O—CH2-),再醚键断裂,交联度增加。醚键如何断裂有不同见解,倾向性的看法是断裂成亚甲基醌,再进一步交联。甲阶酚在酸性情况下固化,其机理类同线性酚醛的生成,反应速度很快,放出的大量热又反过来促进固化。


线性酚醛树脂没有足够的羟甲基,是热塑性树脂,加入含亚甲基的成分,如六次甲基四胺才能固化。其机理尚未完全清楚,仅从固化后的树脂呈现黄色,推断含有亚胺基。
固化的酚醛树脂是无定形的,其强度低于理论计算值,显微照片显示有微泡存在。一些研究者认为交联不多,有的推断固化后的酚醛树脂有两相,高分子化合物形成的骨架和充填于骨架中的低分子化合物。
应用 酚醛树脂胶接强度高,有优良的耐水性和耐久性,耐热性也很好,一般作为结构用胶或室外用胶。胶合板常用苛性钠催化的甲阶酚,胶压的板材能耐水、耐候,如滑翔机用航空胶合板即用该胶。纤维板为了增加强度和抗水性,在加防水剂的同时,也加入碱催化的酚醛树脂,利用它在铝盐和酸作用下析出的特点,使其沉积于纤维上。刨花板用于室外或作结构材料者,需用酚醛树脂胶粘剂。由于酚醛树脂固化较慢、对刨花含水率要求严及价格较高等原因,在刨花板的生产中应用较少。旋切单板浸渍酚醛树脂(醇溶性或水溶性)可压制成木材层积塑料,用于制造机械零件、耐磨材料、纺织梭子等。纸质层压板有工业用板和装饰用板两类。工业用层压板是将浸胶纸或浸胶布组坯热压成型,用作电气绝缘材料或耐磨材料。装饰板以牛皮纸浸酚醛树脂的胶膜纸作底层,上盖装饰纸等热压成型。此外,酚醛树脂还可用于涂料、模塑、研磨材料以及制酚醛纤维等方面。
中国木材工业中常用的酚醛树脂见下表。

常用酚醛树脂胶简介


P 苯酚;F 甲醛;*重量比;**摩尔比。
随便看

 

开放百科全书收录579518条英语、德语、日语等多语种百科知识,基本涵盖了大多数领域的百科知识,是一部内容自由、开放的电子版国际百科全书。

 

Copyright © 2000-2025 oenc.net All Rights Reserved
更新时间:2026/5/19 11:19:06