网站首页  百科知识

请输入您要查询的百科知识:

 

词条 辅酶a
类别 中文百科知识
释义

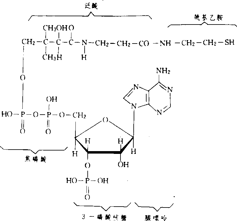
辅酶A

简称“CoA”。含维生素泛酸的一种复合核苷酸。分子中含有泛酰巯基乙胺,是乙酰转移酶的辅酶。在代谢中作为一种乙酰基或其他酰基的载体,这些酰基连结在辅酶A的巯基上形成硫酯,故有传递酰基的作用。

辅酶Acoenzyme A

转移酶辅酶的一种,简写为CoA。为3′-磷酸腺苷与泛酰-β-巯基乙胺-4′-焦磷酸形成的酯。含有维生素B3。巯基是其功能基团,故又可写成CoASH。为一些酰基转移酶的辅酶,在代谢反应中起传递酰基的作用。

随便看

 

开放百科全书收录579518条英语、德语、日语等多语种百科知识,基本涵盖了大多数领域的百科知识,是一部内容自由、开放的电子版国际百科全书。

 

Copyright © 2000-2025 oenc.net All Rights Reserved
更新时间:2026/5/19 12:24:57