网站首页  百科知识

请输入您要查询的百科知识:

 

词条 轮换对称多项式
类别 中文百科知识
释义

轮换对称多项式lunhuan duichen duoxiangshi

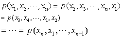
对于数域F上一个多元多项式p(x1,x2,…,xn),把它的n个变数顺次进行调换,如果所得的结果与原式相同,即

那么此多项式叫做关于这些自变数的轮换对称多项式,简称轮换对称式、轮换多项式或轮换式.
显然,对称多项式必为轮换对称多项式;反过来不一定成立.
轮换对称多项式的和、差、积仍是轮换对称多项式.
随便看

 

开放百科全书收录579518条英语、德语、日语等多语种百科知识,基本涵盖了大多数领域的百科知识,是一部内容自由、开放的电子版国际百科全书。

 

Copyright © 2000-2025 oenc.net All Rights Reserved
更新时间:2026/1/12 18:09:53