网站首页  百科知识

请输入您要查询的百科知识:

 

词条 质谱法
类别 中文百科知识
释义

质谱法mass spectrometry,MS

将待测物质的分子转变成带电粒子,利用磁场或交变电场,使离子按照质量大小分离,形成质谱,进行定性定量分析的方法。最初的质谱计是由英国人阿斯顿(F.W.Aston)1919年制造的,用于测量某些同位素的相对半度。直到20世纪40年代,用它来测定有机化合物结构的技术才确立起来。现在,质谱法在有机化学、药物学、生物化学、石油化工、环境污染等方面都有广泛应用。在农药分析中多用于有效成分、杂质、农药残留物及分解代谢产物的结构鉴定。采用选择离子检测技术能大大提高仪器灵敏度,在农药残留研究中用于痕量物质的定量测定。
基本原理 使分子电离形成离子的方法有多种,最常用的是电子轰击电离,其次有化学电离、场致电离、火花电离等。当分子(ABCD)受到高能电子的轰击时,很容易失去一个电子而形成单电荷正离子:

ABCD+e→ABCD+2e

这一过程形成的离子(ABCD)称为分子离子或母离子。它为确定待测物的分子量提供了重要信息。形成分子离子时所获得的能量往往高于离子形成所需要的能量。多余的能量则使分子离子进一步断裂而形成各种碎片离子或中性碎片:

离子在电场作用下被加速,加速离子通过质量分析器进行分离。以磁偏转式质量分析器为例,离子在磁偏转式质量分析器中的运动方程式为:

式中 r为离子运动半径,H为磁场强度,m为离子的质量,e为离子的电荷,V为加速电压。磁偏转式质量分析器分析管的r是固定的。连续改变H或V,离子即可得到分离并按照质量大小顺序排列得到质谱图。
类型和基本构造 质谱计有多种类型,以适应于不同的用途。按照质量分析器的不同,可分为磁偏转质谱计、四极矩质谱计、飞行时间质谱计和双聚焦质谱计等。质谱计的基本组成为:进样系统、离子源、质量分析器、检测及记录系统、真空系统、电源及控制系统。其中离子源被视为质谱计的“心脏”。图1为一半圆形磁偏转式质谱计示意图。样品通过进样系统导入离子源,在高能电子的轰击下形成带电正离子,离子通过加速区加速后进入质量分析管,在磁场的作用下被偏转分离,通过出口狭缝到达收集极,经放大记录,即得到质谱图。


图1 磁偏式质谱计示意图
(据《分析化学》)


应用 质谱计主要用于化合物结构鉴定,在一定条件下可作定量分析。
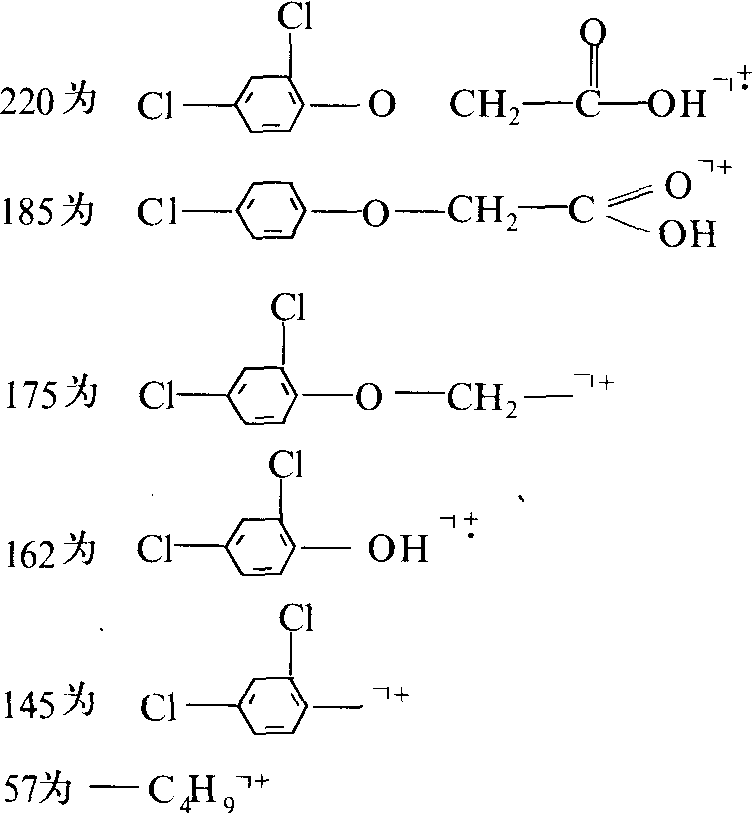
化合物结构鉴定 分子离子的稳定程度和断裂方式与分子结构有关。在一定条件下待测物分子能形成与其结构相关的特定离子组成构型,这是化合物结构鉴定的依据。图2为2,4-滴丁酯的质谱图。质荷


图2 2,4-滴丁酯质谱图
(据张百臻)

比276的峰为2,4-滴丁酯的分子离子峰为:

以下各峰分别为分子离子断裂所形成的碎片离子峰:

通过质谱图解析,可推断出此化合物的结构; 同标准图谱比较,根据未知物图谱与标准图谱相符合的程度来确定其是否为同一化合物。英国皇家化学学会质谱数据中心出版的《质谱八峰索引》(Eight Peak Indexof Mass Spectra)第3版(1983)收集了6万多个化合物的质谱数据可供检索。近年生产的质谱计一般都带计算机检索系统,使未知物结构的鉴定速度大大提高。
定量分析 在一定条件下,待测物分子所形成的离子强度与进样量呈线性关系,这是定量分析的依据。选择待测化合物质谱中某一特征性离子 (例如2,4-滴丁酯质谱中M/e=276的离子)作为被检测离子。配制不同浓度的标准溶液,进行质谱操作,绘制标准溶液浓度与离子强度曲线。图3为2,4-滴丁酯的溶液浓度与离子强度标准曲线。在相同条件下取待测样品溶液进行质谱操作,得到被检测离子的强度值,在标准曲线上查出相对应的浓度,从而计算出样品中待测组分的含量。


图3 2,4-滴丁酯浓度与离子强度曲线
(据张百臻)

随便看

 

开放百科全书收录579518条英语、德语、日语等多语种百科知识,基本涵盖了大多数领域的百科知识,是一部内容自由、开放的电子版国际百科全书。

 

Copyright © 2000-2025 oenc.net All Rights Reserved
更新时间:2026/1/12 17:33:32