网站首页  百科知识

请输入您要查询的百科知识:

 

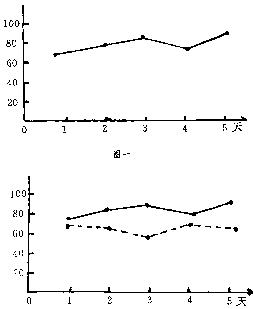
词条 观察结果的运用
类别 中文百科知识
释义

观察结果的运用guancha jieguo de yunyong

对观察结果进行解释评价,并运用它研究出下一步需观察和改进的问题的过程。下面是某幼儿注意力分散情况(见图一)。针对这一情况,教师采取一系列措施,努力提高该幼儿注意力水平,一周训练后再次观察(见图二)。若教师继续运用第二次观察结果进行训练,需用其它来呈现结果,以免曲线交叉。训练结束时,可将最初情况与最后情况列表比较,使人一目了然地看出对该幼儿注意力分散问题进行矫正的效果。


图二

随便看

 

开放百科全书收录579518条英语、德语、日语等多语种百科知识,基本涵盖了大多数领域的百科知识,是一部内容自由、开放的电子版国际百科全书。

 

Copyright © 2000-2025 oenc.net All Rights Reserved
更新时间:2026/5/18 16:32:25