网站首页  百科知识

请输入您要查询的百科知识:

 

词条 蜜二糖
类别 中文百科知识
释义

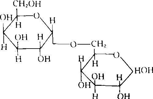
蜜二糖melibiose

D-吡喃半乳糖基与D-吡喃葡萄糖基通过al→6糖苷键连接而成的还原性双糖。结构式如左。存在于许多植物的溢泌物、某些植物的花蜜和小麦胚乳中。是棉子糖被植物转化酶水解生成的产物之一。

随便看

 

开放百科全书收录579518条英语、德语、日语等多语种百科知识,基本涵盖了大多数领域的百科知识,是一部内容自由、开放的电子版国际百科全书。

 

Copyright © 2000-2025 oenc.net All Rights Reserved
更新时间:2025/11/10 13:58:10