网站首页  百科知识

请输入您要查询的百科知识:

 

词条 葡萄糖醛酸
类别 中文百科知识
释义

葡萄糖醛酸

一种含醛基和羧基的己糖。由葡萄糖的末位醇基氧化成羧基即成。还可进一步合成维生素C。是糖胺多糖的重要结构单位。

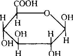
葡萄糖醛酸glucuronic acid

葡萄糖在酶的作用下,分子中带伯醇羟基的末端碳原子被氧化为羧基而成的衍生物。结构式如下。是某些多糖的重要组分。为动物肝脏内的一种解毒剂。在植物和多数动物体内可转变为L-抗坏血酸。

开链式

环式

随便看

 

开放百科全书收录579518条英语、德语、日语等多语种百科知识,基本涵盖了大多数领域的百科知识,是一部内容自由、开放的电子版国际百科全书。

 

Copyright © 2000-2025 oenc.net All Rights Reserved
更新时间:2026/1/13 18:05:57