网站首页  百科知识

请输入您要查询的百科知识:

 

词条 葡萄糖酸内酯
类别 中文百科知识
释义

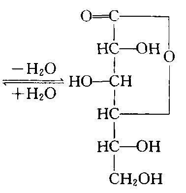
葡萄糖酸内酯gluconolactone

葡萄糖酸的羧基与分子内的羟基之间脱水而成的酯。与第5位(δ位)碳原子上的羟基之间脱水而成的酯,称为葡萄糖酸-δ-内酯;与第4位(γ-位)碳原子上的羟基之间脱水而成的酯,称为葡萄糖酸-γ-内酯。易溶于水,在水溶液中水解为葡萄糖酸,与δ及γ两种内酯成平衡混合物:

葡萄糖酸-δ-内酯

葡萄糖酸

葡萄糖酸-γ-内酯

其6-磷酸酯是葡萄糖在生物体内氧化分解(磷酸戊糖途径)的中间物。在食品加工中,作大豆蛋白或牛乳蛋白的凝固剂、肉类的防腐剂、糕点的疏松剂及色素的稳定剂。
随便看

 

开放百科全书收录579518条英语、德语、日语等多语种百科知识,基本涵盖了大多数领域的百科知识,是一部内容自由、开放的电子版国际百科全书。

 

Copyright © 2000-2025 oenc.net All Rights Reserved
更新时间:2026/5/19 23:01:17