网站首页  百科知识

请输入您要查询的百科知识:

 

词条 菊糖
类别 中文百科知识
释义

菊糖

又称“菊粉”。一种多缩果糖,由果糖-1,2-糖苷键连结而成。存在于菊科植物的根及块茎中。微溶于冷水,易溶于热水。分子中除含果糖外,还有葡萄糖。具有还原性。

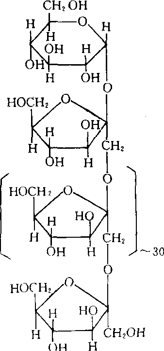
菊糖inulin

又称菊粉。果聚糖的主要类型之一。一般为30~35个D-呋喃果糖残基以β2→1糖苷键连结而成的线形分子,末端有一个蔗糖单位。是双子叶植物中主要非淀粉贮存性多糖。存在于菊科、桔梗科、萝藦科、龙胆科、半边莲科、报春花科、堇菜科和紫草科等植物中,以菊芋的根茎和大丽花的块根为最丰富。是制备高纯度D-果糖的原料。结构式见右。

随便看

 

开放百科全书收录579518条英语、德语、日语等多语种百科知识,基本涵盖了大多数领域的百科知识,是一部内容自由、开放的电子版国际百科全书。

 

Copyright © 2000-2025 oenc.net All Rights Reserved
更新时间:2026/5/18 17:57:26