网站首页  百科知识

请输入您要查询的百科知识:

 

词条 莽草酸
类别 中文百科知识
释义

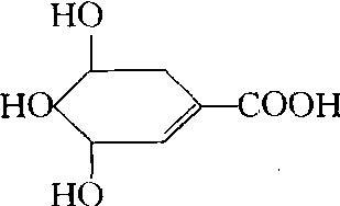
莽草酸shikimic acid

3,4.5-三羟-1-环己烯甲酸。在植物和微生物体内,由4-磷酸赤藓糖和磷酸烯醇式丙酮酸缩合成环,再经脱水还原而成。广泛存在于裸子植物的细胞液中及乔木的叶和芽中。是合成芳香族氨基酸、香豆素和某些多酚化合物的前体,在芳香族化合物合成代谢中十分重要。

随便看

 

开放百科全书收录579518条英语、德语、日语等多语种百科知识,基本涵盖了大多数领域的百科知识,是一部内容自由、开放的电子版国际百科全书。

 

Copyright © 2000-2025 oenc.net All Rights Reserved
更新时间:2026/5/18 18:27:33