网站首页  百科知识

请输入您要查询的百科知识:

 

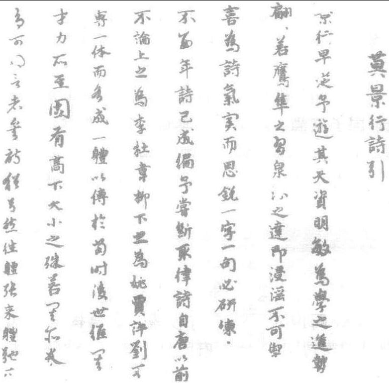
词条 莫景行诗引帖
类别 中文百科知识
释义

莫景行诗引帖

元仇远书,行草,纸本。曾为清宫收藏,今藏北京故宫博物院。此帖附在《莫维贤西湖草堂图》后面。莫维,字景行,系仇远好友,喜古能诗,筑室于灵隐、天竺间,遍植杏树,号曰“杏园”,时与诗友墨客唱和其间。仇远为其写诗引,其书结构系从欧阳询、颜真卿中来,同时也受有智永、宋高宗的影响。体势开阔疏朗,笔法圆劲,墨色润厚。点画精心布置,用笔灵活多变,楷、行、草书兼出,有丰姿绰约、参差多姿之美。仇远(1247—1326) 字仁近,自号山村民,钱塘 (今浙江杭州)人,曾为溧阳州教授,著有《金渊集》六卷。《书史会要》说他“好古博雅,楷书学欧”。仇远工诗文鉴赏,与当时著名的书法家赵孟頫、鲜于枢及周密、白珽、张翥等人,往返甚密。仇远书法初师欧阳询,后改学其他,风格不拘一家,体势圆阔疏放。

随便看

 

开放百科全书收录579518条英语、德语、日语等多语种百科知识,基本涵盖了大多数领域的百科知识,是一部内容自由、开放的电子版国际百科全书。

 

Copyright © 2000-2025 oenc.net All Rights Reserved
更新时间:2026/5/18 16:55:41